Ultimo aggiornamento :
27/04/2026
Antimicotico   Amphotericin B  
Aerosol
Collirio Collutorio Iniezione Soluzione orale
Stabilità dei preparati farmaceutici Stabilità in miscela Fattori che influenzano la stabilità Compatibilità Bibliografia pdf
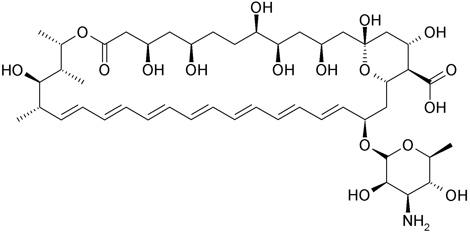
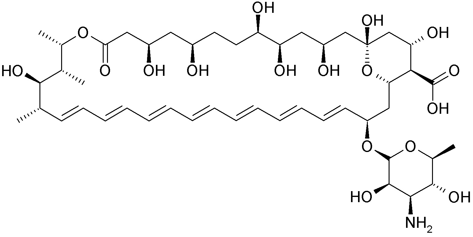
   Struttura chimica  

Aerosol
Bibliografia   Aerosol   Bibliografia : Amphotericin B  
tipo pubblicazione
3069 Rivista Juarez JC, ,Lopez RM, Hucto M et al.
Stability of amphotericin B in water solution for inhalation.
Eur Hosp Pharm 1997 ; 3: 59-60.

  Mentions Légales