viimane versioon :
27/04/2026
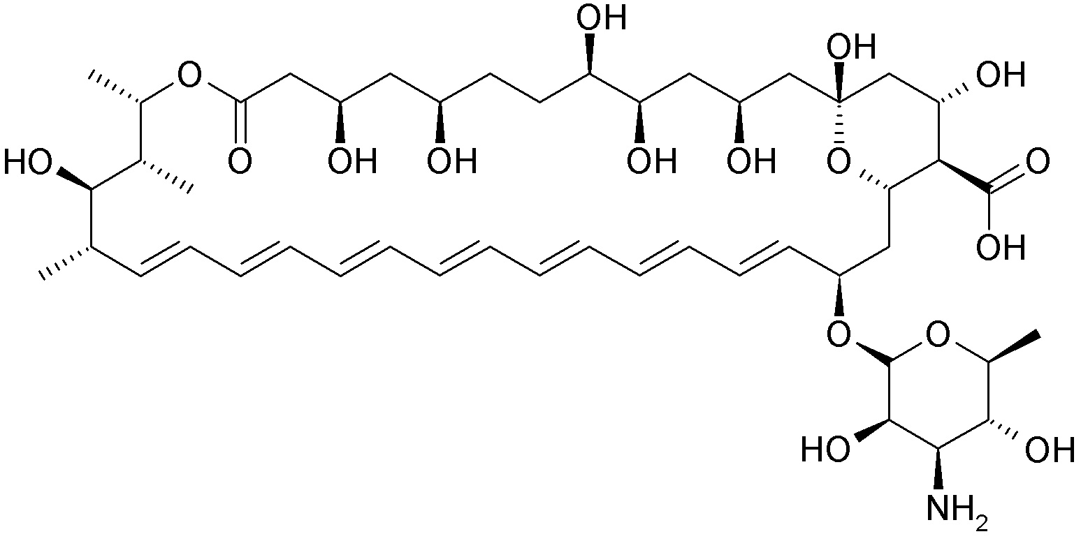
Seenevastane ravim   Amphotericin B  
aerosool
Silmatilgad Süsteravim suukaudne lahus Suuloputus lahus
Stabiilsust ravimpreparaadid Stabiilsust mõjutavad tegurid stabiilsust mõjutavad faktorid Sobimatus Viited pdf
   keemiline struktuur  

aerosool
Viited   aerosool   Viited : Amphotericin B  
tüüp avaldamine
3069 ajaleht Juarez JC, ,Lopez RM, Hucto M et al.
Stability of amphotericin B in water solution for inhalation.
Eur Hosp Pharm 1997 ; 3: 59-60.

  Mentions Légales