Последно актуализиране :
27/04/2026
Противогъбично средство   Amphotericin B  
Аерозол
Инжекция/Инжекционен Капки за очи Орален разтвор Разтвор за уста
Стабилност на лекарствени препарати Стабилност на смеси Фактори, повлияващи стабилността Съвместимост Библиография Pdf
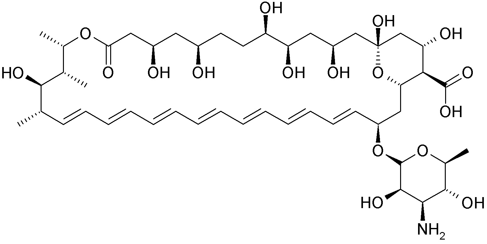
   Химична структура  

Аерозол
Библиография   Аерозол   Библиография : Amphotericin B  
Вид Публикация
3069 Списание Juarez JC, ,Lopez RM, Hucto M et al.
Stability of amphotericin B in water solution for inhalation.
Eur Hosp Pharm 1997 ; 3: 59-60.

  Mentions Légales