Viimeisin päivitys :
27/04/2026
Sienilääkkeet   Amphotericin B  
Aerosoli
Injektioneste Oraaliliuos Silmätipat Suuvesi
Vakaus lääkevalmisteen Stabilius seoksissa Tekijät, jotka vaikuttavat stabiliuteen Yhteensopivuus Viitteet pdf
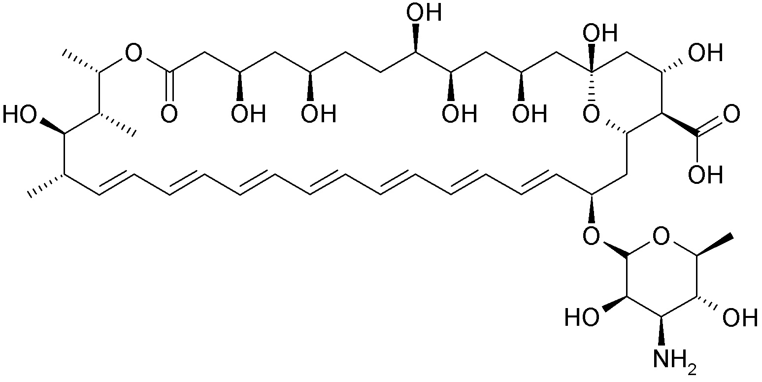
   Kemiallinen rakenne  

Aerosoli
Viitteet   Aerosoli   Viitteet : Amphotericin B  
tyyppi julkaisu
3069 Lehti Juarez JC, ,Lopez RM, Hucto M et al.
Stability of amphotericin B in water solution for inhalation.
Eur Hosp Pharm 1997 ; 3: 59-60.

  Mentions Légales