Laatste update :
27/01/2026
Antibioticum   Gentamicin sulfate  
Oogwater
injecteerbaar geneesmiddel
Stabiliteit van farmaceutische preparaten Stabiliteit in mengsels Factoren die de stabiliteit beïnvloeden Verenigbaarheden Literatuur pdf
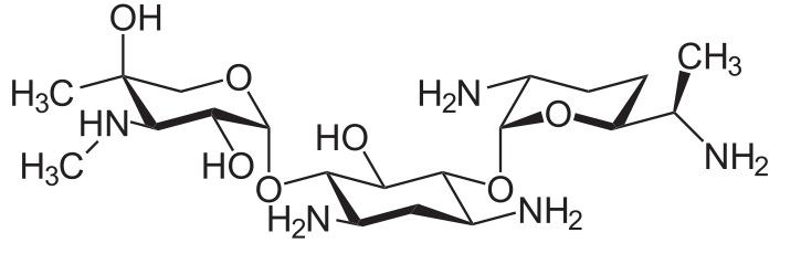
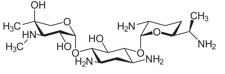
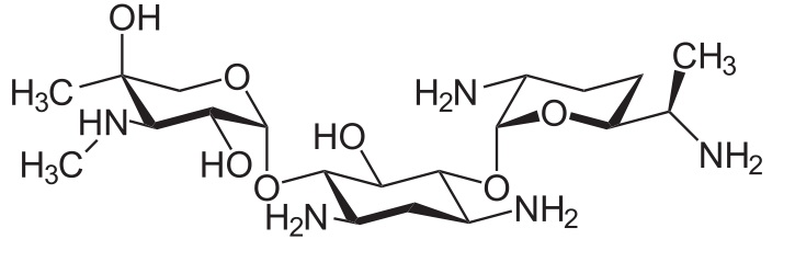
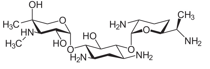
   Molecuulstructuur  

Oogwater
Stabiliteit van farmaceutische preparaten   Oogwater   Stabiliteit van farmaceutische preparaten : Gentamicin sulfate     
Verpakking Origine  ikˈsipēənt hulpstof Temperatuur Bewaring Duur van de stabiliteit Literatuur
Glas Geneeskunde fles voor injectie 80 mg
®=?
NaCl 0.9% >>10 ml
2-8°C Buiten invloed van licht
42 Dag
2547

Glas Geneeskunde fles voor injectie 140 mg
®=?
NaCl 0.9% >>10 ml
2-8°C Buiten invloed van licht
42 Dag
2547

Glas Geneeskunde fles voor injectie 80 mg
®=?
NaCl 0.9% >>10 ml
26°C Niet gespecificeerd
7 Dag
2547

Glas Geneeskunde fles voor injectie 140 mg
®=?
NaCl 0.9% >>10 ml
26°C Niet gespecificeerd
7 Dag
2547

plastic fles Geneeskunde fles voor injectie 5 ml
gentamycine sulfate 40 mg/ml ®=? (Lyphomed)
Genoptic® eye-drops 3 mg/ml 2 ml
4-8°C Buiten invloed van licht
90 Dag
2487


  Mentions Légales