zadnja posodobitev :
27/01/2026
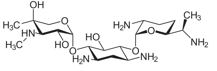
Antibiotik   Gentamicin sulfate  
Kapljice za oči
Brizgalka
Stabilnost farmacevtskih preparatov Stabilnost mešanice Faktorji, ki vplivajo na stabilnost Kompatibilnost Viri pdf
   Kemična formula  

Kapljice za oči
Stabilnost farmacevtskih preparatov   Kapljice za oči   Stabilnost farmacevtskih preparatov : Gentamicin sulfate     
Vsebnik Origine Ekscipient Temperatura Shranjevanje Trajanje stabilnosti Viri
Steklo Medicinske steklenica za injiciranje 80 mg
®=?
NaCl 0.9% >>10 ml
2-8°C Zaščiteno pred svetlobo
42 Dan
2547

Steklo Medicinske steklenica za injiciranje 140 mg
®=?
NaCl 0.9% >>10 ml
2-8°C Zaščiteno pred svetlobo
42 Dan
2547

Steklo Medicinske steklenica za injiciranje 80 mg
®=?
NaCl 0.9% >>10 ml
26°C Nedoločeno
7 Dan
2547

Steklo Medicinske steklenica za injiciranje 140 mg
®=?
NaCl 0.9% >>10 ml
26°C Nedoločeno
7 Dan
2547

Plastenka Medicinske steklenica za injiciranje 5 ml
gentamycine sulfate 40 mg/ml ®=? (Lyphomed)
Genoptic® kapljice za oči 3 mg/ml 2 ml
4-8°C Zaščiteno pred svetlobo
90 Dan
2487


  Mentions Légales