viimane versioon :
27/01/2026
Infostab
ingredientide nimekiri
nimekiri
Sobivus otsing
Y-liini sobivuse tabel
Viited
uurimisrühmad
valistab
plakat
Sidemed
sponsorid
Autor
Kasutusjuhend
ajakiri
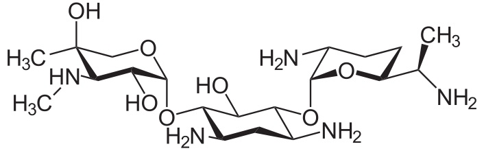
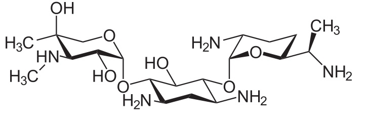
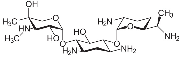
Gentamicin sulfate
keemiline struktuur
Stabiilsust ravimpreparaadid : Gentamicin sulfate
80 mg
®=?
NaCl 0.9%
>>10 ml
2-8°C
42
2547
140 mg
®=?
NaCl 0.9%
>>10 ml
2-8°C
42
2547
80 mg
®=?
NaCl 0.9%
>>10 ml
26°C
7
2547
140 mg
®=?
NaCl 0.9%
>>10 ml
26°C
7
2547
5 ml
gentamycine sulfate 40 mg/ml ®=? (Lyphomed)
Genoptic® eye-drops 3 mg/ml
2 ml
4-8°C
90
2487
Mentions Légales