Останнє оновлення :
27/01/2026
Антибіотик   Gentamicin sulfate  
Очні краплі
ін'єкція
Стабільність фармацевтичних препаратів Стійкість сумішей Фактори, що впливають на стабільність Сумісність Список літератури pdf
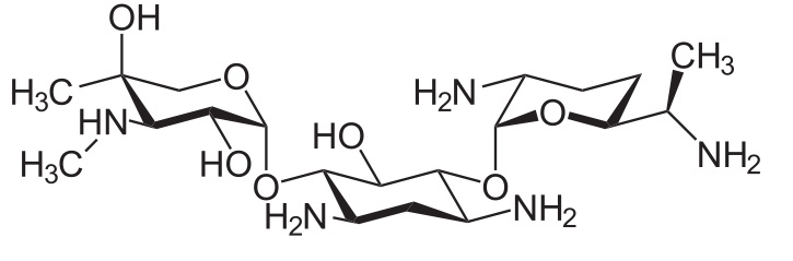
   Хімічна структура  

Очні краплі
Стабільність фармацевтичних препаратів   Очні краплі   Стабільність фармацевтичних препаратів : Gentamicin sulfate     
Контейнер Origine допоміжна речовина температура Зберігання Тривалість стабільності Список літератури
скло Пляшка для ін'єкцій 80 mg
®=?
NaCl 0.9% >>10 ml
2-8°C Берегти від світла
42 День
2547

скло Пляшка для ін'єкцій 140 mg
®=?
NaCl 0.9% >>10 ml
2-8°C Берегти від світла
42 День
2547

скло Пляшка для ін'єкцій 80 mg
®=?
NaCl 0.9% >>10 ml
26°C Не визначено
7 День
2547

скло Пляшка для ін'єкцій 140 mg
®=?
NaCl 0.9% >>10 ml
26°C Не визначено
7 День
2547

пластикова пляшка Пляшка для ін'єкцій 5 ml
gentamycine sulfate 40 mg/ml ®=? (Lyphomed)
Genoptic® eye-drops 3 mg/ml 2 ml
4-8°C Берегти від світла
90 День
2487


  Mentions Légales