Cập nhật lần cuối :
27/01/2026
Kháng sinh   Gentamicin sulfate  
Thuốc nhỏ mắt
Dạng tiêm
Tính ổn định của các chế phẩm Độ ổn định khi trộn lẫn Những yếu tố ảnh hưởng đến độ ổn định Khả năng tương thích Tài liệu tham khảo Pdf
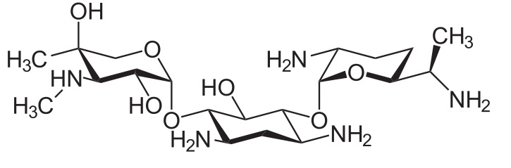
   Cấu trúc hóa học  

Thuốc nhỏ mắt
Tính ổn định của các chế phẩm   Thuốc nhỏ mắt   Tính ổn định của các chế phẩm : Gentamicin sulfate     
Bao bì Nguyên bản Tá dược Nhiệt độ Bảo quản Thời gian ổn định Mục lục
Thủy tinh Lọ thuốc tiêm 80 mg
®=?
NaCl 0,9% >>10 ml
2-8°C Tránh ánh sáng
42 Ngày
2547

Thủy tinh Lọ thuốc tiêm 140 mg
®=?
NaCl 0,9% >>10 ml
2-8°C Tránh ánh sáng
42 Ngày
2547

Thủy tinh Lọ thuốc tiêm 80 mg
®=?
NaCl 0,9% >>10 ml
26°C Không rõ
7 Ngày
2547

Thủy tinh Lọ thuốc tiêm 140 mg
®=?
NaCl 0,9% >>10 ml
26°C Không rõ
7 Ngày
2547

Lọ nhựa Lọ thuốc tiêm 5 ml
gentamycine sulfate 40 mg/ml ®=? (Lyphomed)
Thuốc nhỏ mắt Genoptic® 3 mg/ml 2 ml
4-8°C Tránh ánh sáng
90 Ngày
2487


  Mentions Légales