Последнее обновление :
27/01/2026
Антибиотик   Gentamicin sulfate  
Глазные капли
Инъекция
Стабильность фармацевтических препаратов Стабильность смесей Факторы, которые влияют на стабильность Совместимость Библиография pdf
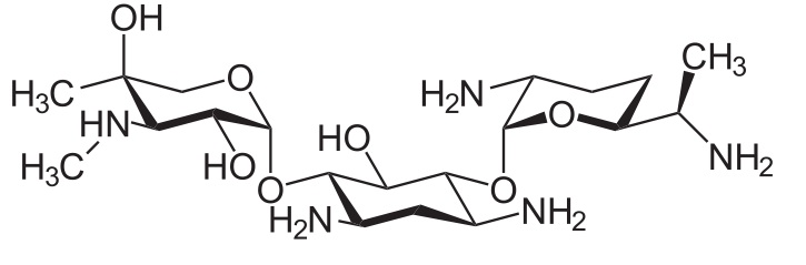
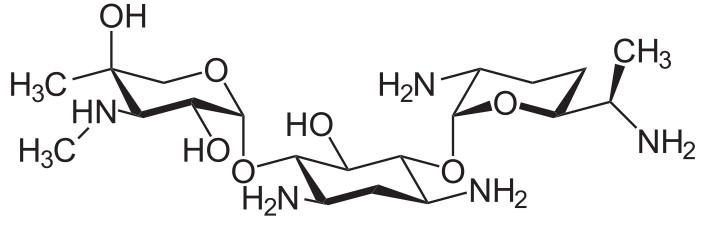
   Химическая структура  

Глазные капли
Стабильность фармацевтических препаратов   Глазные капли   Стабильность фармацевтических препаратов : Gentamicin sulfate     
Упаковка Origine Наполнитель Температура Хранение Продолжительность стабильности Ссылки
Стекло Медицинская бутылка для инъекций 80 mg
®=?
Хлорид натрия 0,9% >>10 ml
2-8°C Защищён от света
42 День
2547

Стекло Медицинская бутылка для инъекций 140 mg
®=?
Хлорид натрия 0,9% >>10 ml
2-8°C Защищён от света
42 День
2547

Стекло Медицинская бутылка для инъекций 80 mg
®=?
Хлорид натрия 0,9% >>10 ml
26°C Не указано
7 День
2547

Стекло Медицинская бутылка для инъекций 140 mg
®=?
Хлорид натрия 0,9% >>10 ml
26°C Не указано
7 День
2547

Пластиковая бутылка Медицинская бутылка для инъекций 5 ml
gentamycine sulfate 40 mg/ml ®=? (Lyphomed)
Genoptic® глазные калли 3 мг/мл 2 ml
4-8°C Защищён от света
90 День
2487


  Mentions Légales