Dernière mise à jour :
27/01/2026
Antibiotique   Gentamicin sulfate  
Collyre
injectable
Stabilité des préparations Stabilité en mélange Facteur influençant la stabilité Compatibilités Bibliographie pdf
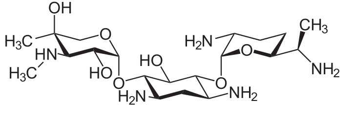
   Structure chimique  

Collyre
Stabilité des préparations   Collyre   Stabilité des préparations : Gentamicin sulfate     
Contenant Origine Excipient Température Conservation Durée de stabilité Bibliographie
Verre Flacon injectable 80 mg
®=?
NaCl 0.9% >>10 ml
2-8°C A l’abri de la lumière
42 Jour
2547

Verre Flacon injectable 140 mg
®=?
NaCl 0.9% >>10 ml
2-8°C A l’abri de la lumière
42 Jour
2547

Verre Flacon injectable 80 mg
®=?
NaCl 0.9% >>10 ml
26°C Non précisée
7 Jour
2547

Verre Flacon injectable 140 mg
®=?
NaCl 0.9% >>10 ml
26°C Non précisée
7 Jour
2547

Flacon plastique Flacon injectable 5 ml
gentamycine sulfate 40 mg/ml ®=? (Lyphomed)
Genoptic® eye-drops 3 mg/ml 2 ml
4-8°C A l’abri de la lumière
90 Jour
2487


  Mentions Légales