最新更新 :
27/01/2026
抗菌薬   Gentamicin sulfate  
点眼薬
注射薬
調剤時の安定性 混合時の安定性 安定性に影響する因子 互換性 引用文献 PDF
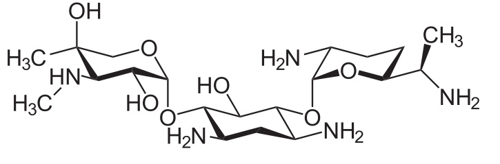
   化学構造  

点眼薬
調剤時の安定性   点眼薬   調剤時の安定性 : Gentamicin sulfate     
容器 Origine 添加剤 温度 保管 安定期間 引用文献
ガラス 注射用瓶 80 mg
®=?
NaCl 0.9% >>10 ml
2-8°C 遮光
42 日
2547

ガラス 注射用瓶 140 mg
®=?
NaCl 0.9% >>10 ml
2-8°C 遮光
42 日
2547

ガラス 注射用瓶 80 mg
®=?
NaCl 0.9% >>10 ml
26°C 特記なし
7 日
2547

ガラス 注射用瓶 140 mg
®=?
NaCl 0.9% >>10 ml
26°C 特記なし
7 日
2547

プラスチックボトル 注射用瓶 5 ml
gentamycine sulfate 40 mg/ml ®=? (Lyphomed)
Genoptic® 点眼剤3 mg / mlの 2 ml
4-8°C 遮光
90 日
2487


  Mentions Légales