 |
|
80 mg
®=? |
| Натриев хлорид 0.9% |
>>10 ml |
|
2-8°C |
 |
| 42 |
 |
|
2547
|
|
 |
|
140 mg
®=? |
| Натриев хлорид 0.9% |
>>10 ml |
|
2-8°C |
 |
| 42 |
 |
|
2547
|
|
 |
|
80 mg
®=? |
| Натриев хлорид 0.9% |
>>10 ml |
|
26°C |
 |
| 7 |
 |
|
2547
|
|
 |
|
140 mg
®=? |
| Натриев хлорид 0.9% |
>>10 ml |
|
26°C |
 |
| 7 |
 |
|
2547
|
|
 |
|
5 ml
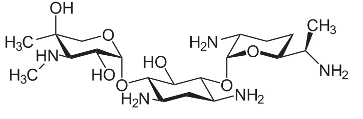
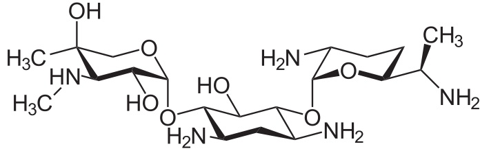
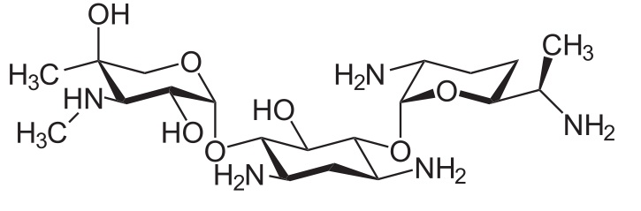
gentamycine sulfate 40 mg/ml ®=? (Lyphomed) |
| Геноптик® капки за очи 3mg/ml |
2 ml |
|
4-8°C |
 |
| 90 |
 |
|
2487
|
|