Viimeisin päivitys :
27/01/2026
Infostab
Luettelo yhdisteistä
Yhteenveto-luettelot
Etsi yhteensopivuutta
Y-sivuston yhteensopivuustaulukko
Viitteet
tutkimus Joukkueet
valistab
ilmoitus
Liitännät
sponsorit
Tekijät
Käyttöohje
Uutiskirje
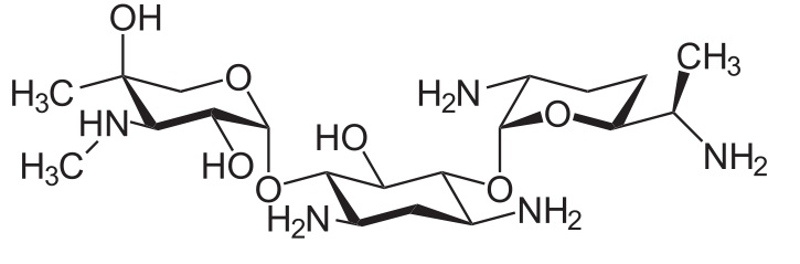
Gentamicin sulfate
Kemiallinen rakenne
Vakaus lääkevalmisteen : Gentamicin sulfate
80 mg
®=?
NaCl 0,9 %
>>10 ml
2-8°C
42
2547
140 mg
®=?
NaCl 0,9 %
>>10 ml
2-8°C
42
2547
80 mg
®=?
NaCl 0,9 %
>>10 ml
26°C
7
2547
140 mg
®=?
NaCl 0,9 %
>>10 ml
26°C
7
2547
5 ml
gentamycine sulfate 40 mg/ml ®=? (Lyphomed)
Genoptic®-silmätipat 3 mg/ml
2 ml
4-8°C
90
2487
Mentions Légales