zadnja posodobitev :
27/04/2026
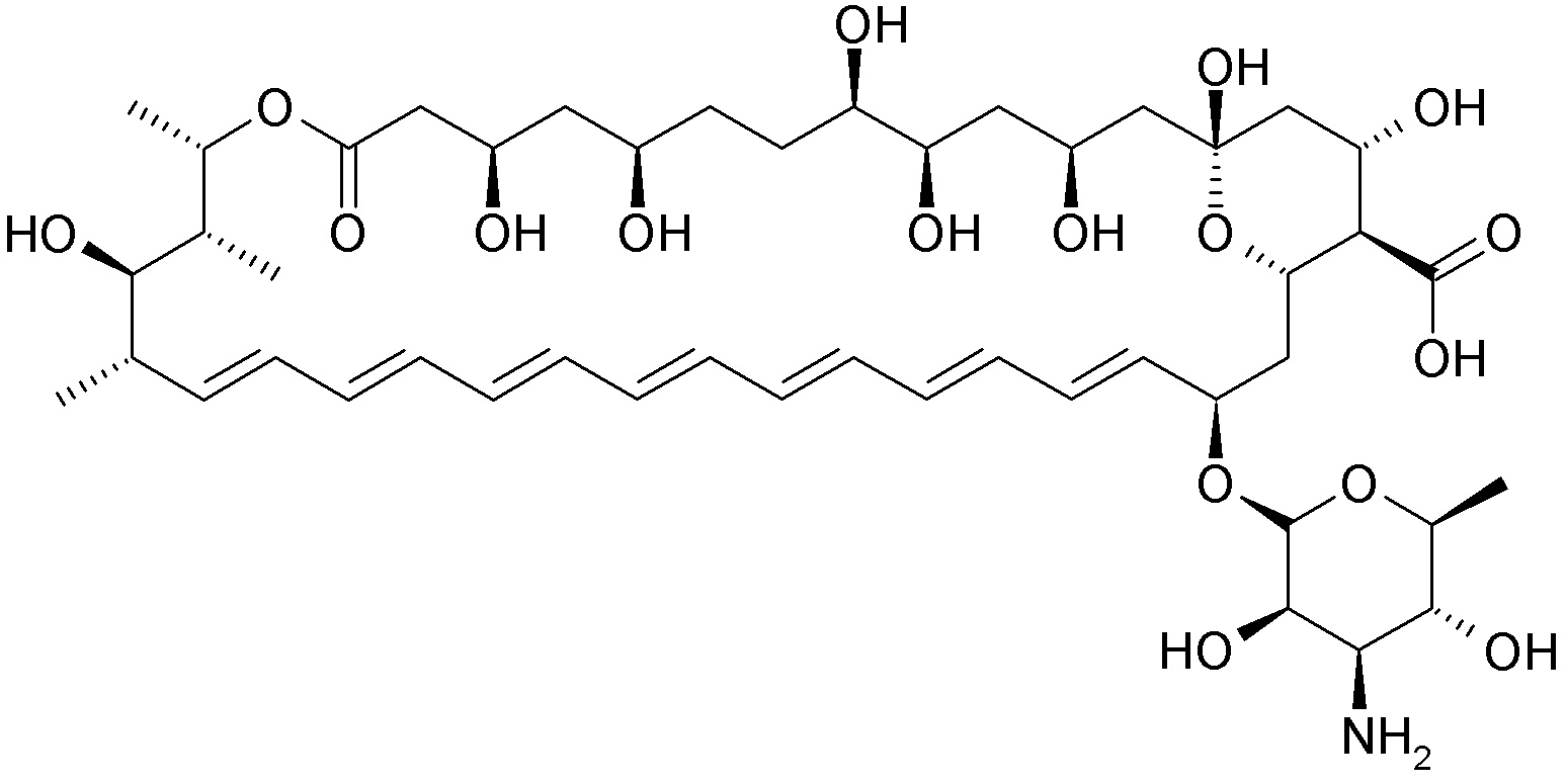
Antimikotik   Amphotericin B  
Kapljice za oči
Aerosol Brizgalka Peroralna raztopina Ustna voda
Stabilnost farmacevtskih preparatov Stabilnost mešanice Faktorji, ki vplivajo na stabilnost Kompatibilnost Viri pdf
   Kemična formula  

Kapljice za oči
Stabilnost farmacevtskih preparatov   Kapljice za oči   Stabilnost farmacevtskih preparatov : Amphotericin B     
Vsebnik Origine Ekscipient Temperatura Shranjevanje Trajanje stabilnosti Viri
Steklo Medicinske steklenica za injiciranje 50 mg
Fungizone®
Natrijev bikarbonat 4,2% 0,1 mL
Glukoza 5% >> 10 mL
-20°C Zaščiteno pred svetlobo
60 Dan
3848
Plastenka Medicinske steklenica za injiciranje 15 mg
Fungizone®
Glukoza 5% >> 3 ml
2-6°C Zaščiteno pred svetlobo
120 Dan
2867

Plastenka Medicinske steklenica za injiciranje 15 mg
Fungizone®
Glukoza 5% >> 3 ml
20-25°C Zaščiteno pred svetlobo
16 Dan
2867

Plastenka Medicinske steklenica za injiciranje 15 mg
Fungizone®
Glukoza 5% >> 3 ml
20-25°C Svetloba
13 Dan
2867

Plastenka Medicinske steklenica za injiciranje 10 mg
Fungizone®
Glukoza 5% 4 mL
23-27°C Nedoločeno
28 Dan
4487

Plastenka Medicinske steklenica za injiciranje 10 mg
Fungizone®
Glukoza 5% 4 mL
3-7°C Nedoločeno
168 Dan
4487


  Mentions Légales