Poslední aktualizace :
27/01/2026
Protiplísňový přípravek   Amphotericin B  
Humbuk
Aerosol injekce kloktadlo Perorální roztok
Stabilita farmaceutických přípravků Stabilita směsí Faktory ovlivňující stabilitu Kompatibilita Odkazy pdf
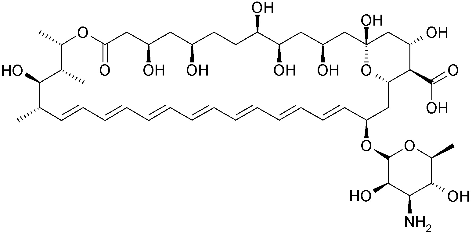
   Chemický vzorec  

Humbuk
Stabilita farmaceutických přípravků   Humbuk   Stabilita farmaceutických přípravků : Amphotericin B     
Obal Origine Pomocné látky Teplota Uchovávání Trvání stability Odkazy
Sklo Lékovka pro injekci 50 mg
Fungizone®
uhličitanu sodného 4,2% 0,1 mL
Glukóza 5% >> 10 mL
-20°C Chráněno před světlem
60 Den
3848
plastová láhev Lékovka pro injekci 15 mg
Fungizone®
Glukóza 5% >> 3 ml
2-6°C Chráněno před světlem
120 Den
2867

plastová láhev Lékovka pro injekci 15 mg
Fungizone®
Glukóza 5% >> 3 ml
20-25°C Chráněno před světlem
16 Den
2867

plastová láhev Lékovka pro injekci 15 mg
Fungizone®
Glukóza 5% >> 3 ml
20-25°C SvÏtlo
13 Den
2867

plastová láhev Lékovka pro injekci 10 mg
Fungizone®
Glukóza 5% 4 mL
23-27°C Nespecifikováno
28 Den
4487

plastová láhev Lékovka pro injekci 10 mg
Fungizone®
Glukóza 5% 4 mL
3-7°C Nespecifikováno
168 Den
4487


  Mentions Légales