Last update :
08/12/2025
Antifungal   Amphotericin B  
Eye-drops
aerosol injection Mouthwash Oral solution
Stability of pharmaceutical preparations Stability of mixtures Factors which affect stability Compatibility References pdf
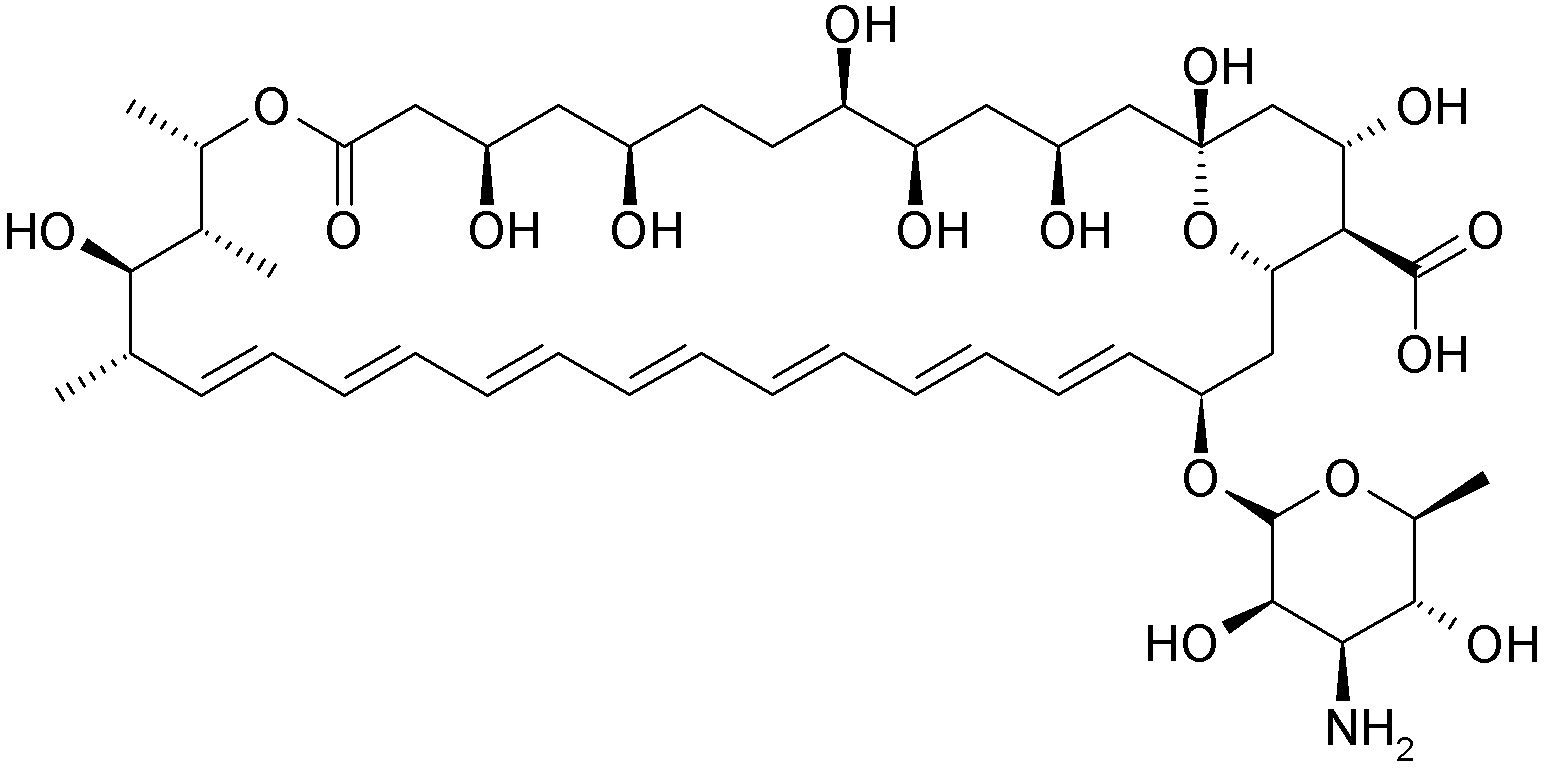
   Chemical structure  

Eye-drops
Stability of pharmaceutical preparations   Eye-drops   Stability of pharmaceutical preparations : Amphotericin B     
Container Origine excipient Temperature Storage Duration of stability References
Glass Medicine bottle for injection 50 mg
Fungizone®
Sodium bicarbonate 4,2% 0,1 mL
Dextrose 5% >> 10 mL
-20°C Protect from light
60 Day
3848
plastic bottle Medicine bottle for injection 15 mg
Fungizone®
Dextrose 5% >> 3 ml
2-6°C Protect from light
120 Day
2867

plastic bottle Medicine bottle for injection 15 mg
Fungizone®
Dextrose 5% >> 3 ml
20-25°C Protect from light
16 Day
2867

plastic bottle Medicine bottle for injection 15 mg
Fungizone®
Dextrose 5% >> 3 ml
20-25°C Light
13 Day
2867

plastic bottle Medicine bottle for injection 10 mg
Fungizone®
Dextrose 5% 4 mL
23-27°C Not specified
28 Day
4487

plastic bottle Medicine bottle for injection 10 mg
Fungizone®
Dextrose 5% 4 mL
3-7°C Not specified
168 Day
4487


  Mentions Légales