Laatste update :
27/01/2026
Antimycoticum   Amphotericin B  
Oogwater
Aerosol gorgelen injecteerbaar geneesmiddel Orale Oplossing
Stabiliteit van farmaceutische preparaten Stabiliteit in mengsels Factoren die de stabiliteit beïnvloeden Verenigbaarheden Literatuur pdf
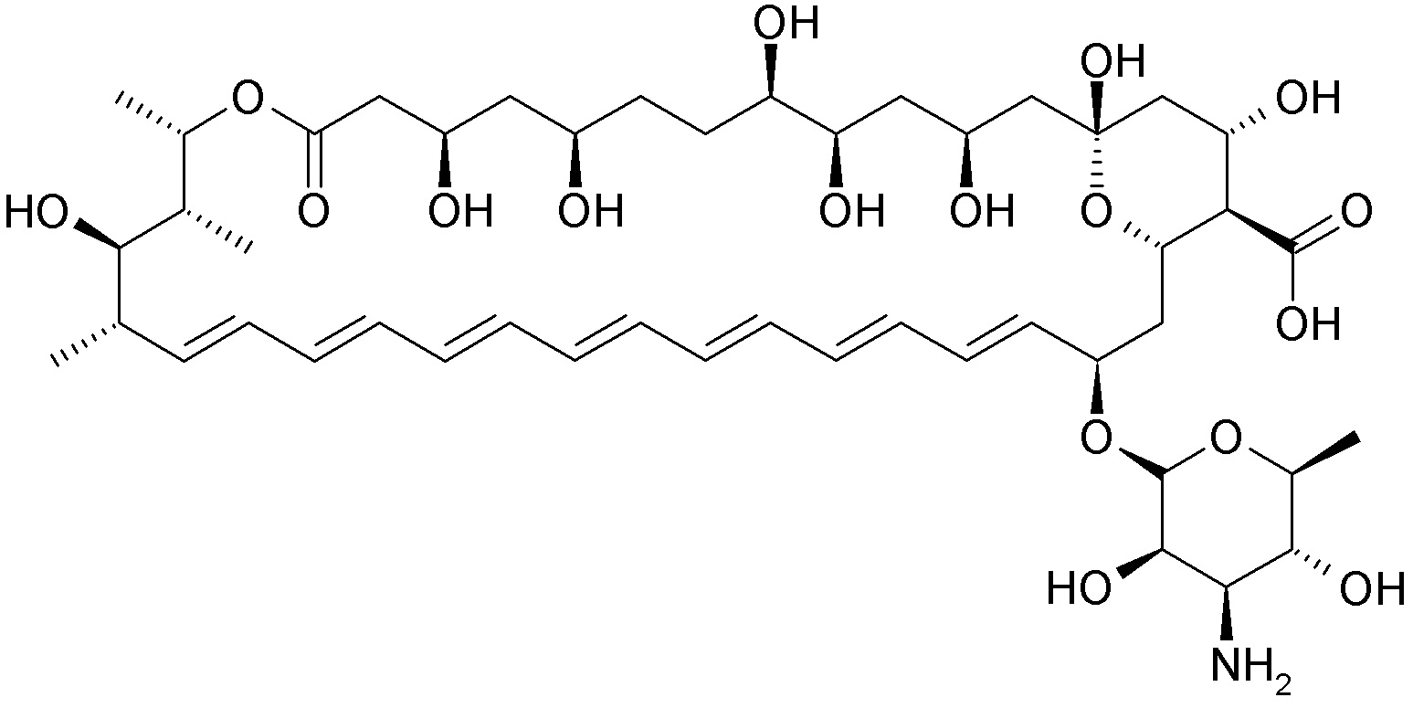
   Molecuulstructuur  

Oogwater
Stabiliteit van farmaceutische preparaten   Oogwater   Stabiliteit van farmaceutische preparaten : Amphotericin B     
Verpakking Origine  ikˈsipēənt hulpstof Temperatuur Bewaring Duur van de stabiliteit Literatuur
Glas Geneeskunde fles voor injectie 50 mg
Fungizone®
natriumbicarbonaat 4,2% 0,1 mL
Glucose 5% >> 10 mL
-20°C Buiten invloed van licht
60 Dag
3848
plastic fles Geneeskunde fles voor injectie 15 mg
Fungizone®
Glucose 5% >> 3 ml
2-6°C Buiten invloed van licht
120 Dag
2867

plastic fles Geneeskunde fles voor injectie 15 mg
Fungizone®
Glucose 5% >> 3 ml
20-25°C Buiten invloed van licht
16 Dag
2867

plastic fles Geneeskunde fles voor injectie 15 mg
Fungizone®
Glucose 5% >> 3 ml
20-25°C Licht
13 Dag
2867

plastic fles Geneeskunde fles voor injectie 10 mg
Fungizone®
Glucose 5% 4 mL
23-27°C Niet gespecificeerd
28 Dag
4487

plastic fles Geneeskunde fles voor injectie 10 mg
Fungizone®
Glucose 5% 4 mL
3-7°C Niet gespecificeerd
168 Dag
4487


  Mentions Légales