Останнє оновлення :
27/04/2026
Протигрибковий   Amphotericin B  
Очні краплі
ін'єкція аерозоль Ополіскувач ротової порожнини Розчин для перорального застосування
Стабільність фармацевтичних препаратів Стійкість сумішей Фактори, що впливають на стабільність Сумісність Список літератури pdf
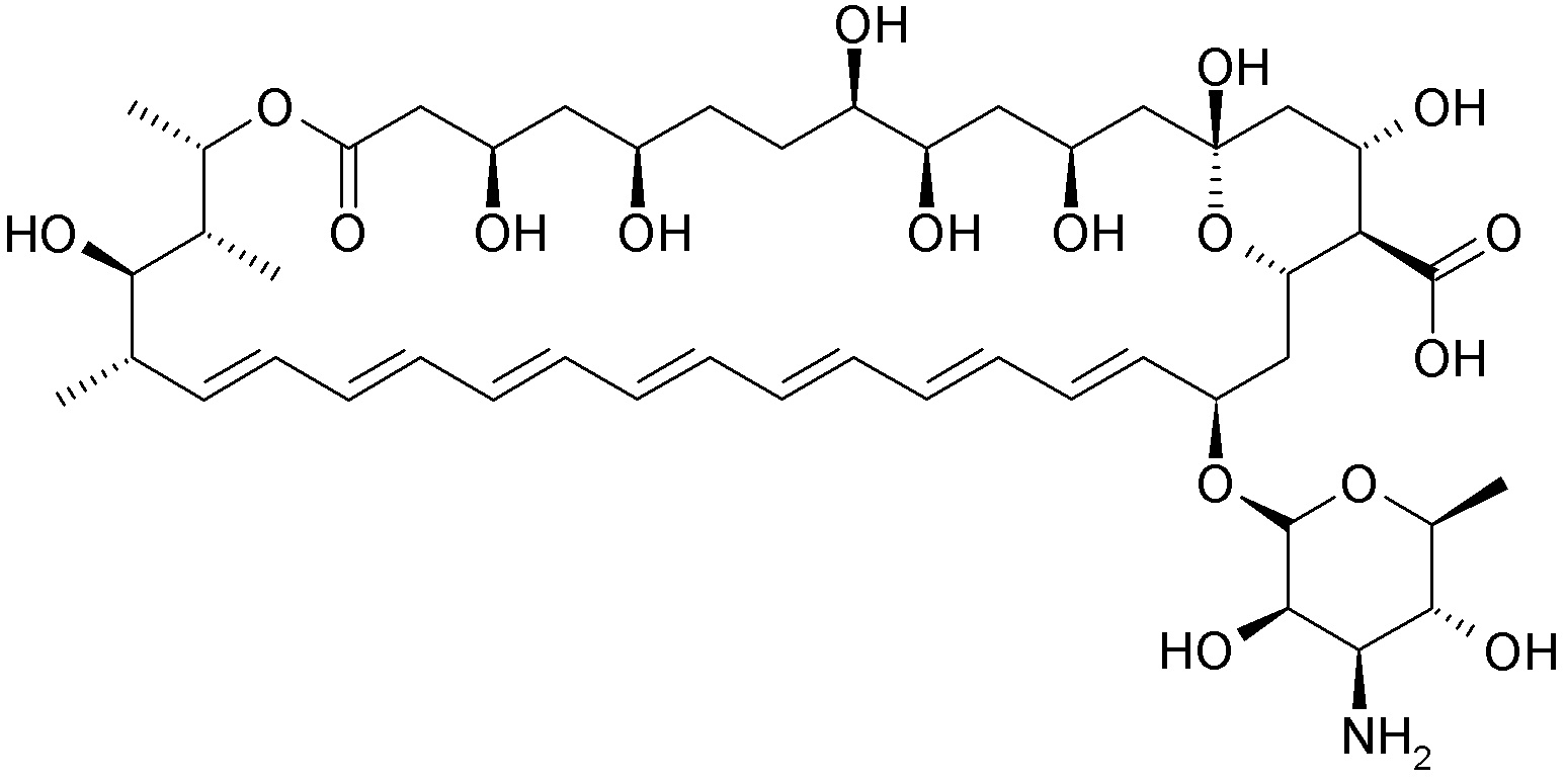
   Хімічна структура  

Очні краплі
Стабільність фармацевтичних препаратів   Очні краплі   Стабільність фармацевтичних препаратів : Amphotericin B     
Контейнер Origine допоміжна речовина температура Зберігання Тривалість стабільності Список літератури
скло Пляшка для ін'єкцій 50 mg
Fungizone®
Бікарбонат натрію 4,2% 0,1 mL
Декстроза 5% >> 10 mL
-20°C Берегти від світла
60 День
3848
пластикова пляшка Пляшка для ін'єкцій 15 mg
Fungizone®
Декстроза 5% >> 3 ml
2-6°C Берегти від світла
120 День
2867

пластикова пляшка Пляшка для ін'єкцій 15 mg
Fungizone®
Декстроза 5% >> 3 ml
20-25°C Берегти від світла
16 День
2867

пластикова пляшка Пляшка для ін'єкцій 15 mg
Fungizone®
Декстроза 5% >> 3 ml
20-25°C світло
13 День
2867

пластикова пляшка Пляшка для ін'єкцій 10 mg
Fungizone®
Декстроза 5% 4 mL
23-27°C Не визначено
28 День
4487

пластикова пляшка Пляшка для ін'єкцій 10 mg
Fungizone®
Декстроза 5% 4 mL
3-7°C Не визначено
168 День
4487


  Mentions Légales