Dernière mise à jour :
27/01/2026
Antifongique   Amphotericin B  
Collyre
Aérosol Gargarisme injectable Solution buvable
Stabilité des préparations Stabilité en mélange Facteur influençant la stabilité Compatibilités Bibliographie pdf
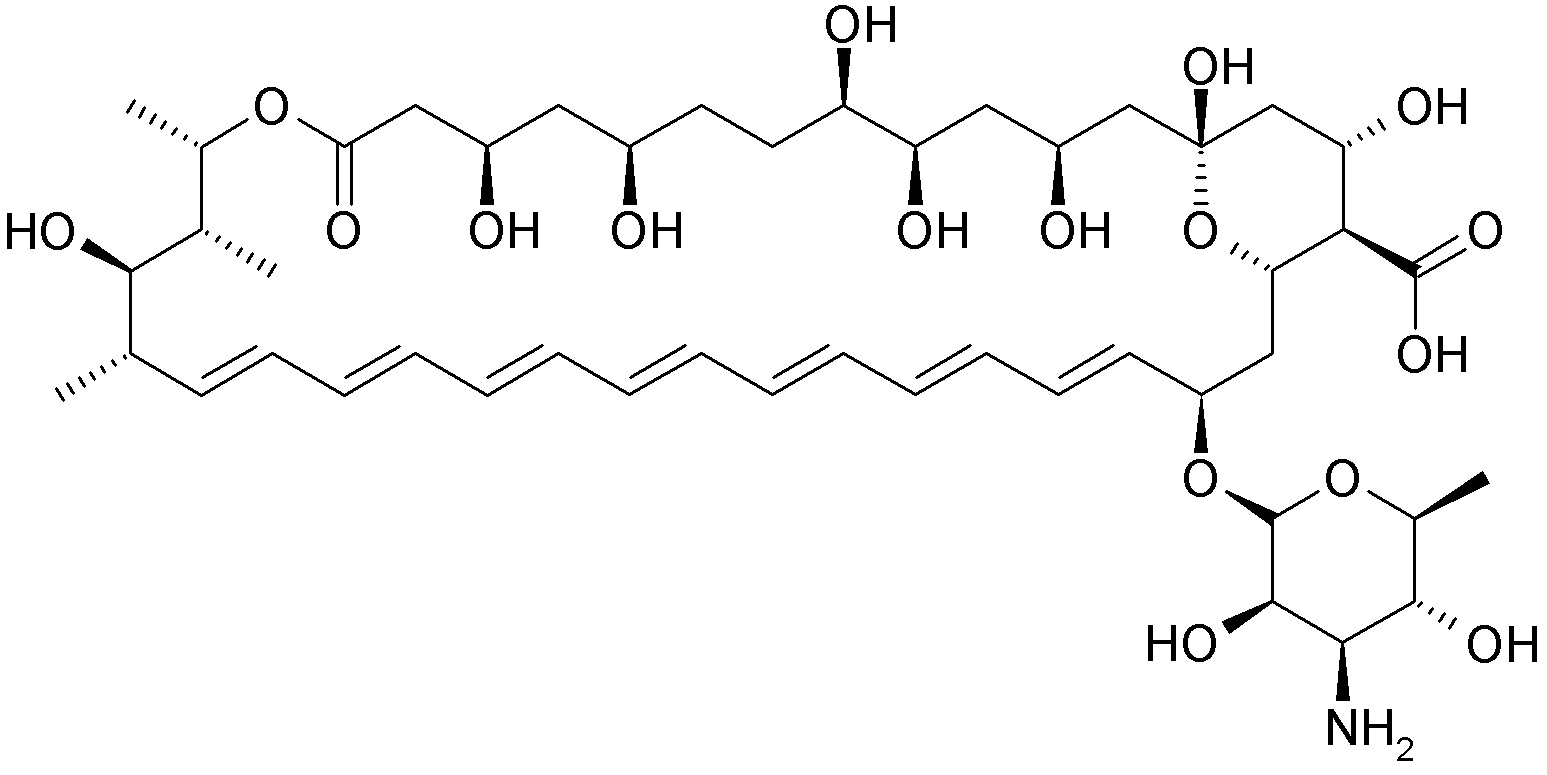
   Structure chimique  

Collyre
Stabilité des préparations   Collyre   Stabilité des préparations : Amphotericin B     
Contenant Origine Excipient Température Conservation Durée de stabilité Bibliographie
Verre Flacon injectable 50 mg
Fungizone®
NaHCO3 4,2% 0,1 mL
Glucose 5% >> 10 mL
-20°C A l’abri de la lumière
60 Jour
3848
Flacon plastique Flacon injectable 15 mg
Fungizone®
Glucose 5% >> 3 ml
2-6°C A l’abri de la lumière
120 Jour
2867

Flacon plastique Flacon injectable 15 mg
Fungizone®
Glucose 5% >> 3 ml
20-25°C A l’abri de la lumière
16 Jour
2867

Flacon plastique Flacon injectable 15 mg
Fungizone®
Glucose 5% >> 3 ml
20-25°C Lumière
13 Jour
2867

Flacon plastique Flacon injectable 10 mg
Fungizone®
Glucose 5% 4 mL
23-27°C Non précisée
28 Jour
4487

Flacon plastique Flacon injectable 10 mg
Fungizone®
Glucose 5% 4 mL
3-7°C Non précisée
168 Jour
4487


  Mentions Légales