Son güncelleme :
27/04/2026
Antifungal   Amphotericin B  
Göz damlası
Aerosol Enjeksiyon Gargara Oral solüsyon / oral çözelti
Farmasötik preparatlar Kararlılığı Karışımlardaki stabilitesi Stabiliteyi etkileyen faktörler Uyumluluk Kaynaklar pdf
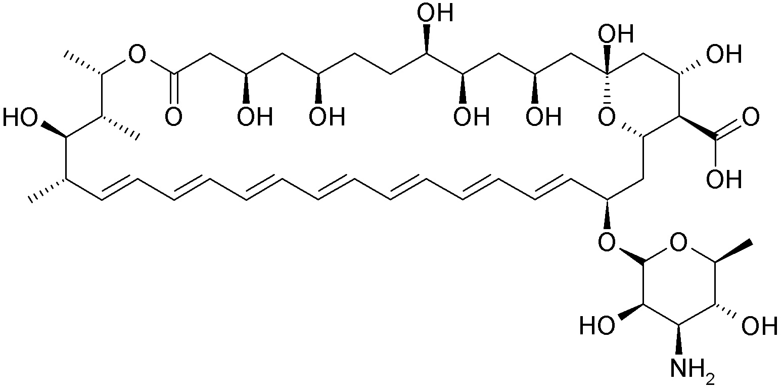
   Kimyasal yapı   

Göz damlası
Farmasötik preparatlar Kararlılığı   Göz damlası   Farmasötik preparatlar Kararlılığı : Amphotericin B     
Saklama kabı Origine yardımcı madde Isı Saklama    Stabilite süresi Kaynaklar
Cam Enjeksiyon için ilaç şişesi 50 mg
Fungizone®
Sodyum bikarbonat 4,2% 0,1 mL
% 5 glukoz >> 10 mL
-20°C Işıktan koruyunuz
60 Gün
3848
Plastik şişe Enjeksiyon için ilaç şişesi 15 mg
Fungizone®
% 5 glukoz >> 3 ml
2-6°C Işıktan koruyunuz
120 Gün
2867

Plastik şişe Enjeksiyon için ilaç şişesi 15 mg
Fungizone®
% 5 glukoz >> 3 ml
20-25°C Işıktan koruyunuz
16 Gün
2867

Plastik şişe Enjeksiyon için ilaç şişesi 15 mg
Fungizone®
% 5 glukoz >> 3 ml
20-25°C I_ık
13 Gün
2867

Plastik şişe Enjeksiyon için ilaç şişesi 10 mg
Fungizone®
% 5 glukoz 4 mL
23-27°C Belirtilmemiş
28 Gün
4487

Plastik şişe Enjeksiyon için ilaç şişesi 10 mg
Fungizone®
% 5 glukoz 4 mL
3-7°C Belirtilmemiş
168 Gün
4487


  Mentions Légales