最新更新 :
27/04/2026
抗真菌薬   Amphotericin B  
点眼薬
エアロゾル 含嗽薬 注射薬 経口液
調剤時の安定性 混合時の安定性 安定性に影響する因子 互換性 引用文献 PDF
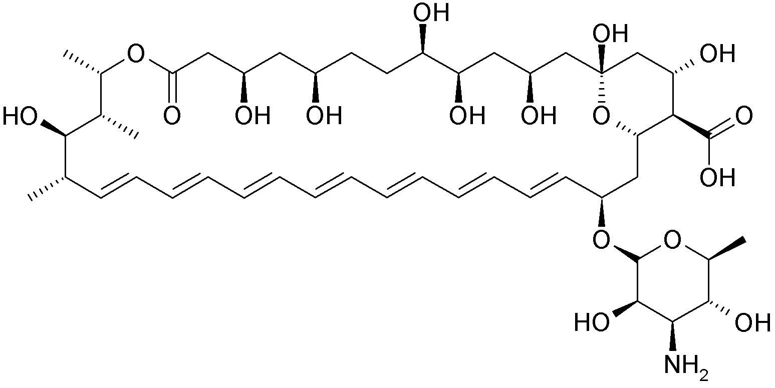
   化学構造  

点眼薬
調剤時の安定性   点眼薬   調剤時の安定性 : Amphotericin B     
容器 Origine 添加剤 温度 保管 安定期間 引用文献
ガラス 注射用瓶 50 mg
Fungizone®
重炭酸ナトリウム 4,2% 0,1 mL
グルコース5% >> 10 mL
-20°C 遮光
60 日
3848
プラスチックボトル 注射用瓶 15 mg
Fungizone®
グルコース5% >> 3 ml
2-6°C 遮光
120 日
2867

プラスチックボトル 注射用瓶 15 mg
Fungizone®
グルコース5% >> 3 ml
20-25°C 遮光
16 日
2867

プラスチックボトル 注射用瓶 15 mg
Fungizone®
グルコース5% >> 3 ml
20-25°C 光
13 日
2867

プラスチックボトル 注射用瓶 10 mg
Fungizone®
グルコース5% 4 mL
23-27°C 特記なし
28 日
4487

プラスチックボトル 注射用瓶 10 mg
Fungizone®
グルコース5% 4 mL
3-7°C 特記なし
168 日
4487


  Mentions Légales