Cập nhật lần cuối :
08/12/2025
Thuốc chống nấm   Amphotericin B  
Thuốc nhỏ mắt
Dạng tiêm Dung dịch uống Khí dung Thuốc súc miệng
Tính ổn định của các chế phẩm Độ ổn định khi trộn lẫn Những yếu tố ảnh hưởng đến độ ổn định Khả năng tương thích Tài liệu tham khảo Pdf
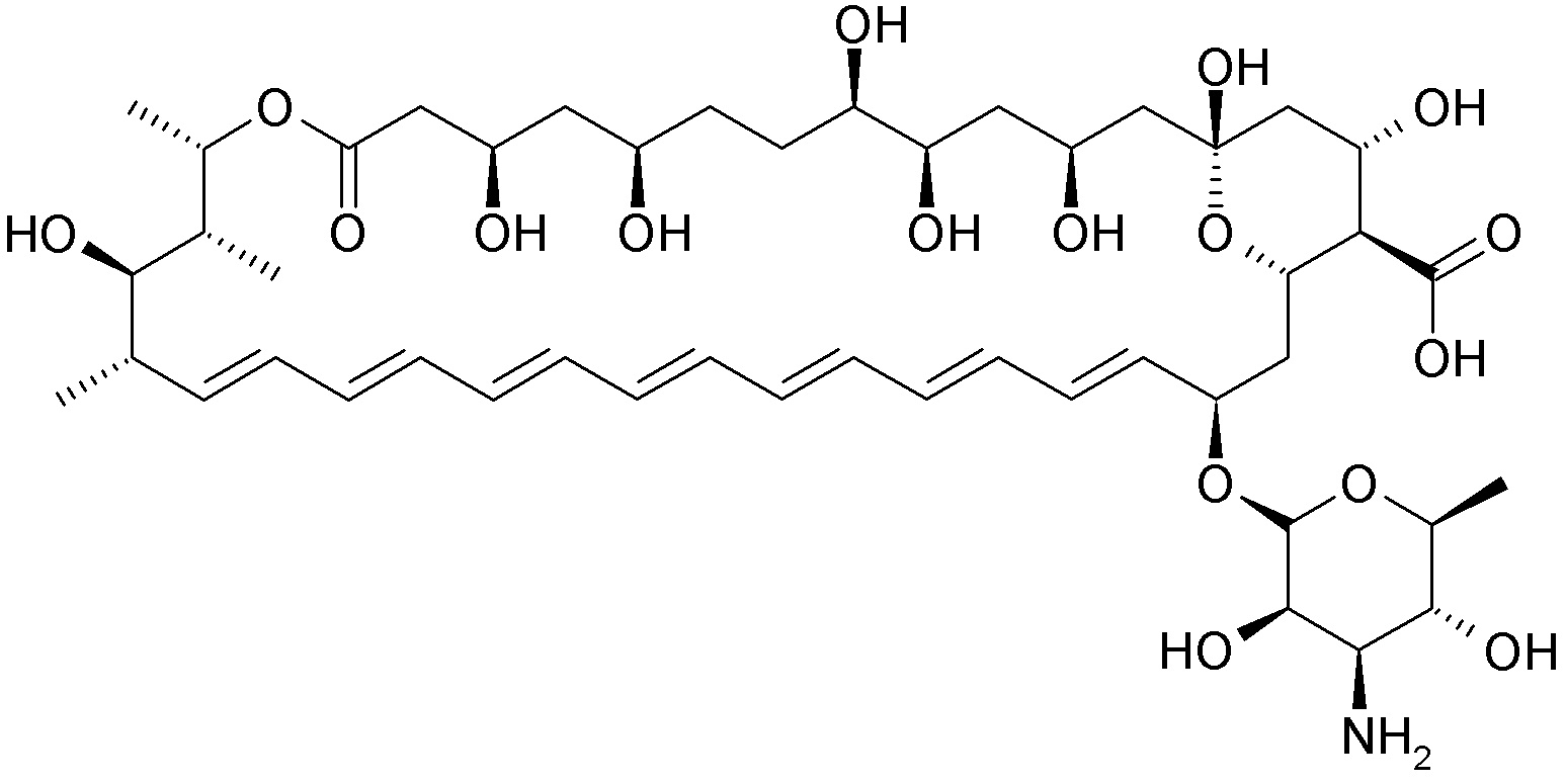
   Cấu trúc hóa học  

Thuốc nhỏ mắt
Tính ổn định của các chế phẩm   Thuốc nhỏ mắt   Tính ổn định của các chế phẩm : Amphotericin B     
Bao bì Nguyên bản Tá dược Nhiệt độ Bảo quản Thời gian ổn định Mục lục
Thủy tinh Lọ thuốc tiêm 50 mg
Fungizone®
Natri bicarbonat 4,2% 0,1 mL
Glucose 5% >> 10 mL
-20°C Tránh ánh sáng
60 Ngày
3848
Lọ nhựa Lọ thuốc tiêm 15 mg
Fungizone®
Glucose 5% >> 3 ml
2-6°C Tránh ánh sáng
120 Ngày
2867

Lọ nhựa Lọ thuốc tiêm 15 mg
Fungizone®
Glucose 5% >> 3 ml
20-25°C Tránh ánh sáng
16 Ngày
2867

Lọ nhựa Lọ thuốc tiêm 15 mg
Fungizone®
Glucose 5% >> 3 ml
20-25°C Ánh sáng
13 Ngày
2867

Lọ nhựa Lọ thuốc tiêm 10 mg
Fungizone®
Glucose 5% 4 mL
23-27°C Không rõ
28 Ngày
4487

Lọ nhựa Lọ thuốc tiêm 10 mg
Fungizone®
Glucose 5% 4 mL
3-7°C Không rõ
168 Ngày
4487


  Mentions Légales