آخر تحديث :
27/01/2026
مضاد للفطريات   Amphotericin B  
قطرات العين
الأيروصولات حقن عن طريق الفم  غسول الفم
استقرار المستحضرات الصيدلانية استقرار مخاليط العوامل التي تؤثر على الاستقرار التوافق مراجع pdf
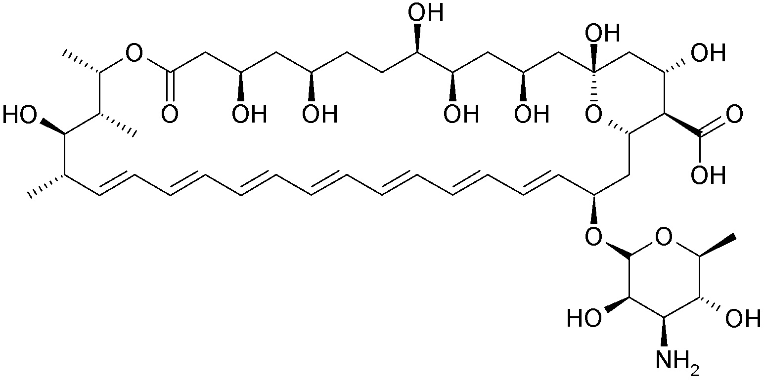
   التركيب الكيميائي  

قطرات العين
استقرار المستحضرات الصيدلانية   قطرات العين   استقرار المستحضرات الصيدلانية : Amphotericin B     
حاوية Origine الاضافات درجة الحرارة تخزين مدة الاستقرار مراجع
زجاج زجاجة الدواء للحقن 50 mg
Fungizone®
بيكربونات الصوديوم 4,2% 0,1 mL
الدكستروز 5? >> 10 mL
-20°C بعيدا عن الضوء
60 يوم
3848
زجاجة من البلاستيك زجاجة الدواء للحقن 15 mg
Fungizone®
الدكستروز 5? >> 3 ml
2-6°C بعيدا عن الضوء
120 يوم
2867

زجاجة من البلاستيك زجاجة الدواء للحقن 15 mg
Fungizone®
الدكستروز 5? >> 3 ml
20-25°C بعيدا عن الضوء
16 يوم
2867

زجاجة من البلاستيك زجاجة الدواء للحقن 15 mg
Fungizone®
الدكستروز 5? >> 3 ml
20-25°C ضوء
13 يوم
2867

زجاجة من البلاستيك زجاجة الدواء للحقن 10 mg
Fungizone®
الدكستروز 5? 4 mL
23-27°C لم يتم تحديد
28 يوم
4487

زجاجة من البلاستيك زجاجة الدواء للحقن 10 mg
Fungizone®
الدكستروز 5? 4 mL
3-7°C لم يتم تحديد
168 يوم
4487


  Mentions Légales