Ultimele actualizari :
27/04/2026
Antifungic   Amphotericin B  
colir
Aerosol Gargara Injectabil Soluţie orală
Stabilitatea preparatelor farmaceutice Stabilitatea in amestec Factorii care influenteaza stabilitatea Compatibilitate Bibliografie pdf
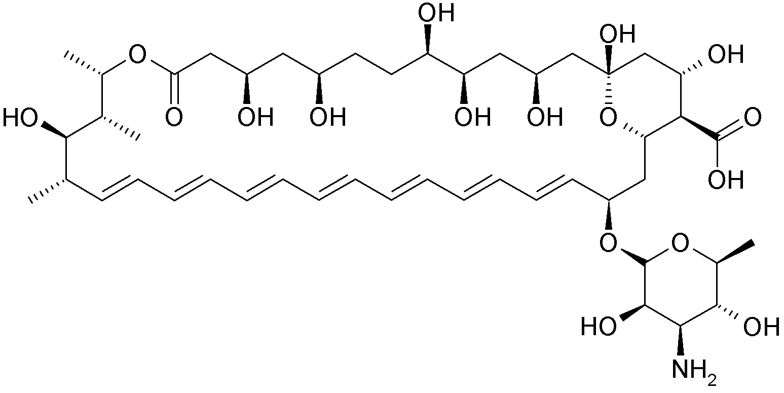
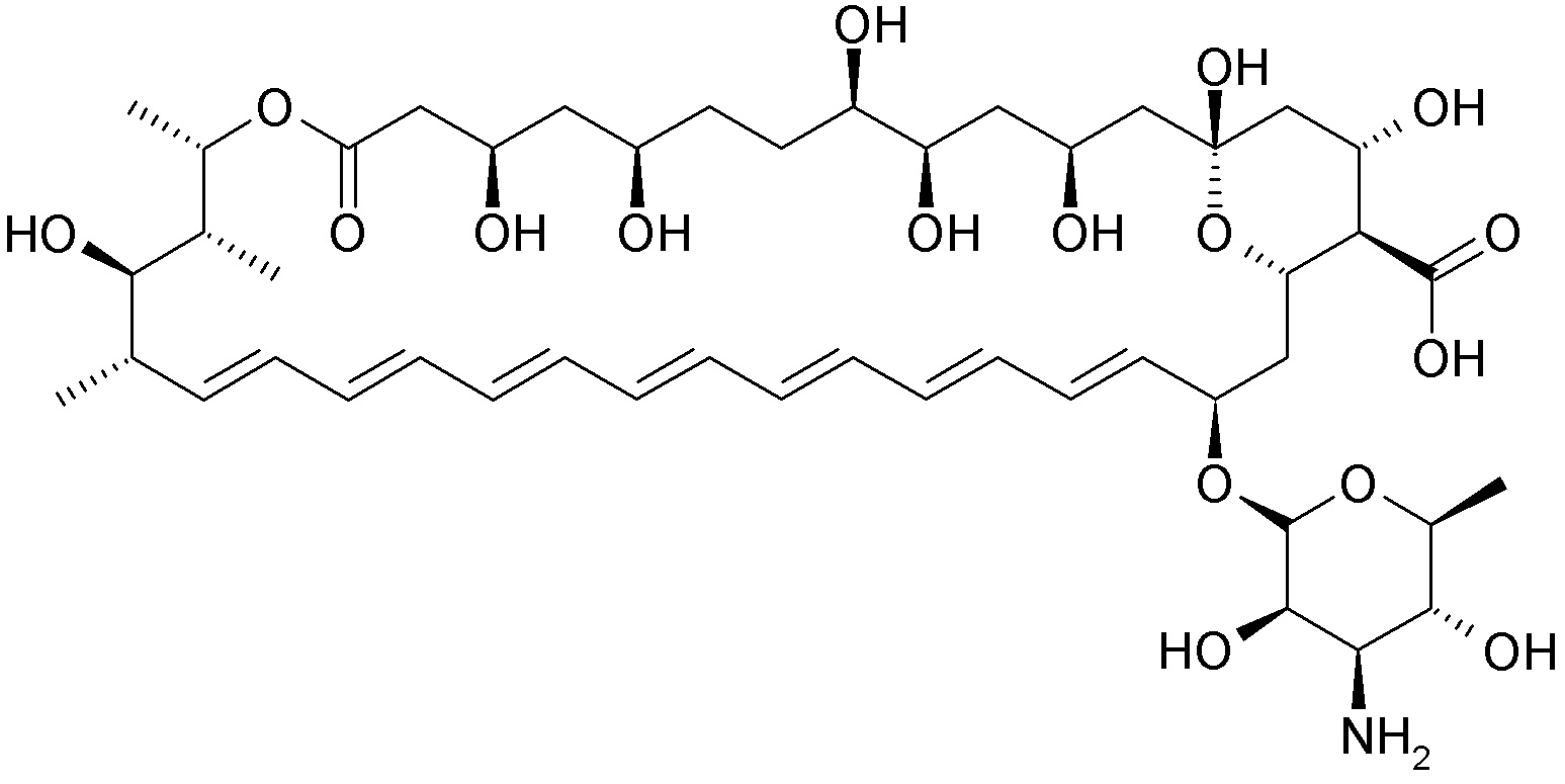
   Formula chimica  

colir
Stabilitatea preparatelor farmaceutice   colir   Stabilitatea preparatelor farmaceutice : Amphotericin B     
Continut Origine Excipient Temperatura Conservare Durata stabilității Bibiografie
sticla Flacon Flacon pentru medicament injectabil pentru injecţie 50 mg
Fungizone®
bicarbonat de sodiu 4,2% 0,1 mL
Glucoză 5% >> 10 mL
-20°C Ferit de lumina
60 Ziua
3848
Sticla din plastic Flacon Flacon pentru medicament injectabil pentru injecţie 15 mg
Fungizone®
Glucoză 5% >> 3 ml
2-6°C Ferit de lumina
120 Ziua
2867

Sticla din plastic Flacon Flacon pentru medicament injectabil pentru injecţie 15 mg
Fungizone®
Glucoză 5% >> 3 ml
20-25°C Ferit de lumina
16 Ziua
2867

Sticla din plastic Flacon Flacon pentru medicament injectabil pentru injecţie 15 mg
Fungizone®
Glucoză 5% >> 3 ml
20-25°C Lumina
13 Ziua
2867

Sticla din plastic Flacon Flacon pentru medicament injectabil pentru injecţie 10 mg
Fungizone®
Glucoză 5% 4 mL
23-27°C Neprecizat
28 Ziua
4487

Sticla din plastic Flacon Flacon pentru medicament injectabil pentru injecţie 10 mg
Fungizone®
Glucoză 5% 4 mL
3-7°C Neprecizat
168 Ziua
4487


  Mentions Légales