Cập nhật lần cuối :
27/01/2026
Khác   Baclofen  
Dung dịch uống
Dạng bôi da Dạng tiêm
Tính ổn định của các chế phẩm Độ ổn định khi trộn lẫn Những yếu tố ảnh hưởng đến độ ổn định Khả năng tương thích Tài liệu tham khảo Pdf
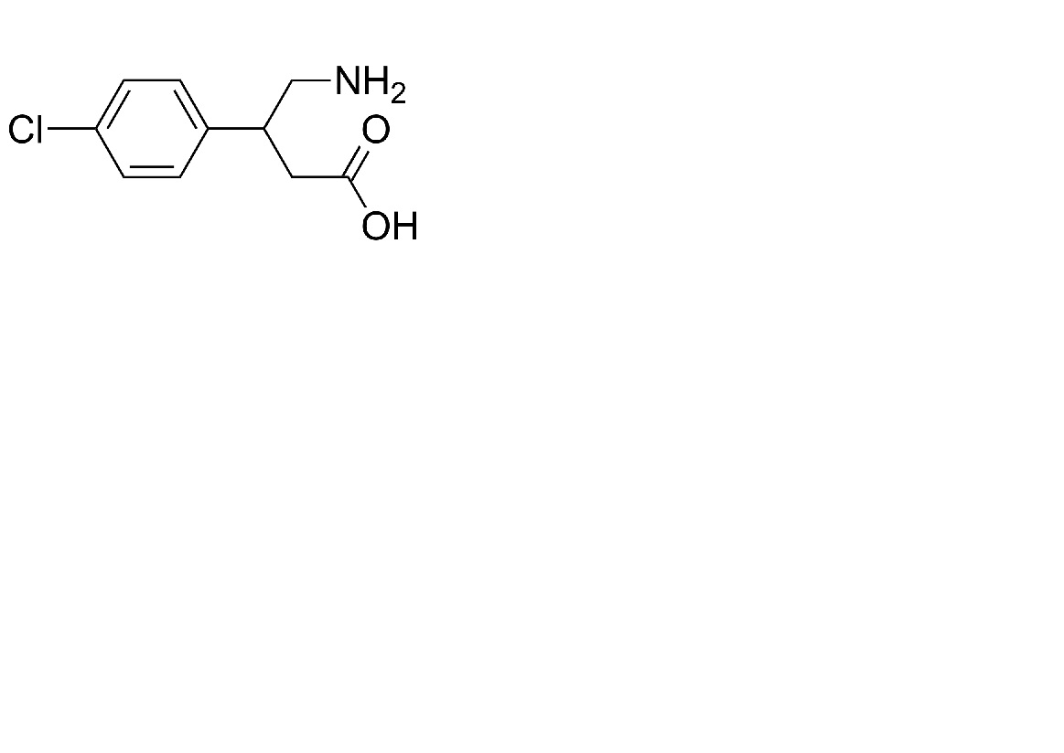
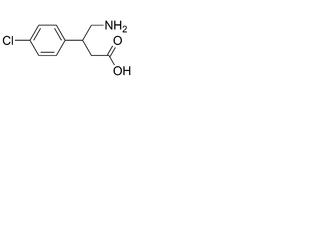
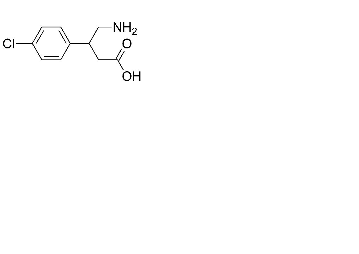
   Cấu trúc hóa học  

Dung dịch uống
Độ ổn định khi trộn lẫn   Dung dịch uống   Độ ổn định khi trộn lẫn : Baclofen     
Không có dữ liệu

  Mentions Légales