Siste oppdatering :
27/01/2026
Forskjellig   Baclofen  
Mikstur
Injeksjon Salver
Stabilitet av farmasøytiske preparater Stabilitet i blandinger Faktorer som påvirker stabiliteten Kompatibilitet Referanser pdf
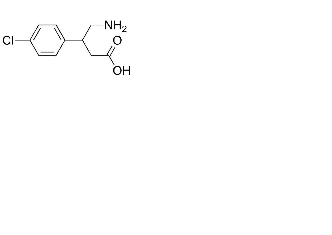
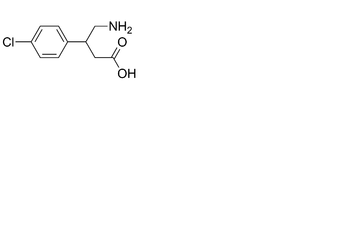
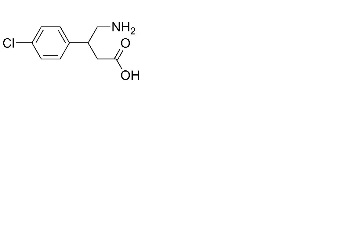
   Kjemisk struktur  

Mikstur
Stabilitet i blandinger   Mikstur   Stabilitet i blandinger : Baclofen     
Ingen opplysninger

  Mentions Légales