Laatste update :
27/01/2026
Diverse   Baclofen  
Orale Oplossing
injecteerbaar geneesmiddel zalf
Stabiliteit van farmaceutische preparaten Stabiliteit in mengsels Factoren die de stabiliteit beïnvloeden Verenigbaarheden Literatuur pdf
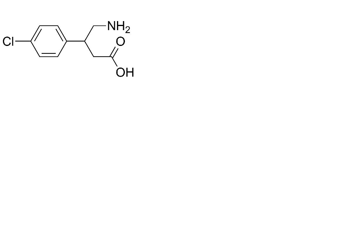
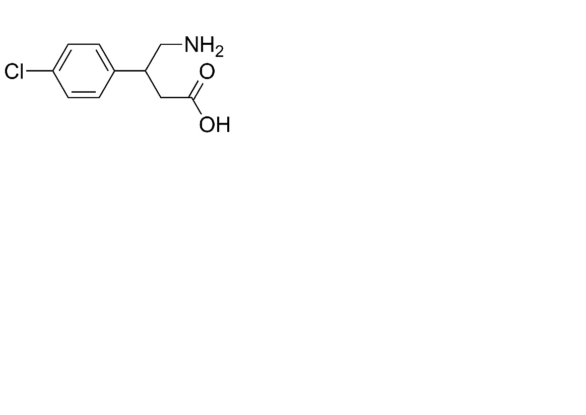
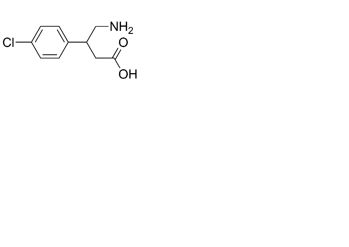
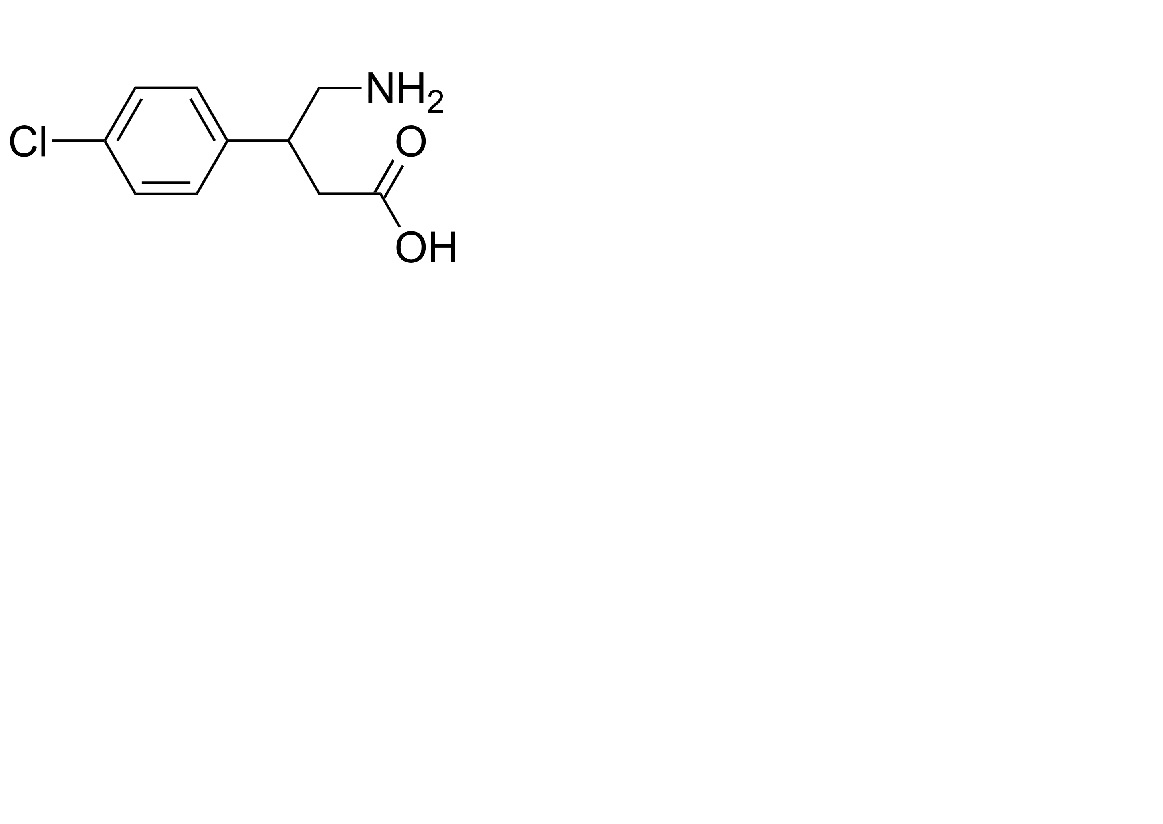
   Molecuulstructuur  

Orale Oplossing
Stabiliteit in mengsels   Orale Oplossing   Stabiliteit in mengsels : Baclofen     
geen gegevens

  Mentions Légales