Última actualización :
27/01/2026
Varios   Baclofen  
Solución Oral
Inyectables Preparaciones tópicas
La estabilidad de las preparaciones farmacéuticas Estabilidad en mezcla Factores que influyen sobre la estabilidad Compatibilidades Bibliografía pdf
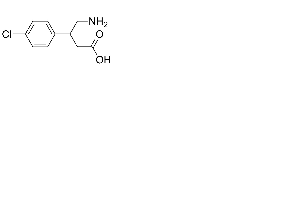
   Estructura química  

Solución Oral
Estabilidad en mezcla   Solución Oral   Estabilidad en mezcla : Baclofen     
Ausencia de datos

  Mentions Légales