Zadnji put ažurirano :
27/01/2026
razno   Baclofen  
oralna otopina
injekcija masti
Stabilnost farmaceutskih pripravaka Stabilnost mješavine Stabilizacijski faktor Kompatibilnosti Bibliografija pdf
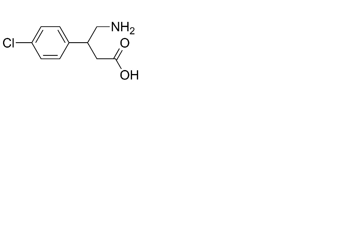
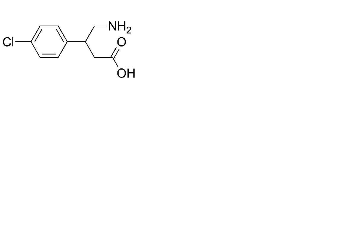
   Kemijska struktura  

oralna otopina
Stabilnost mješavine   oralna otopina     Stabilnost mješavine : Baclofen     
bez podataka

  Mentions Légales