Utolsó frissítés :
27/01/2026
Különféle   Baclofen  
belsőleges oldat
Injekció kenőcs
Stabilitása gyógyszerészeti készítmények A keverékek stabilitása Stabilitást befolyásoló tényezők Kompatibilitás Irodalom pdf
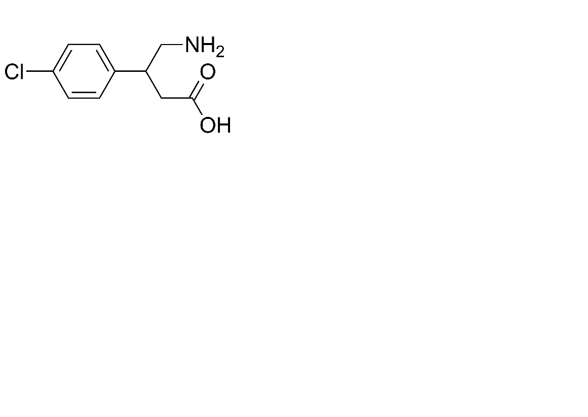
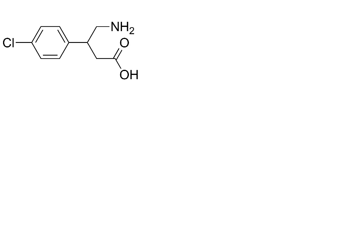
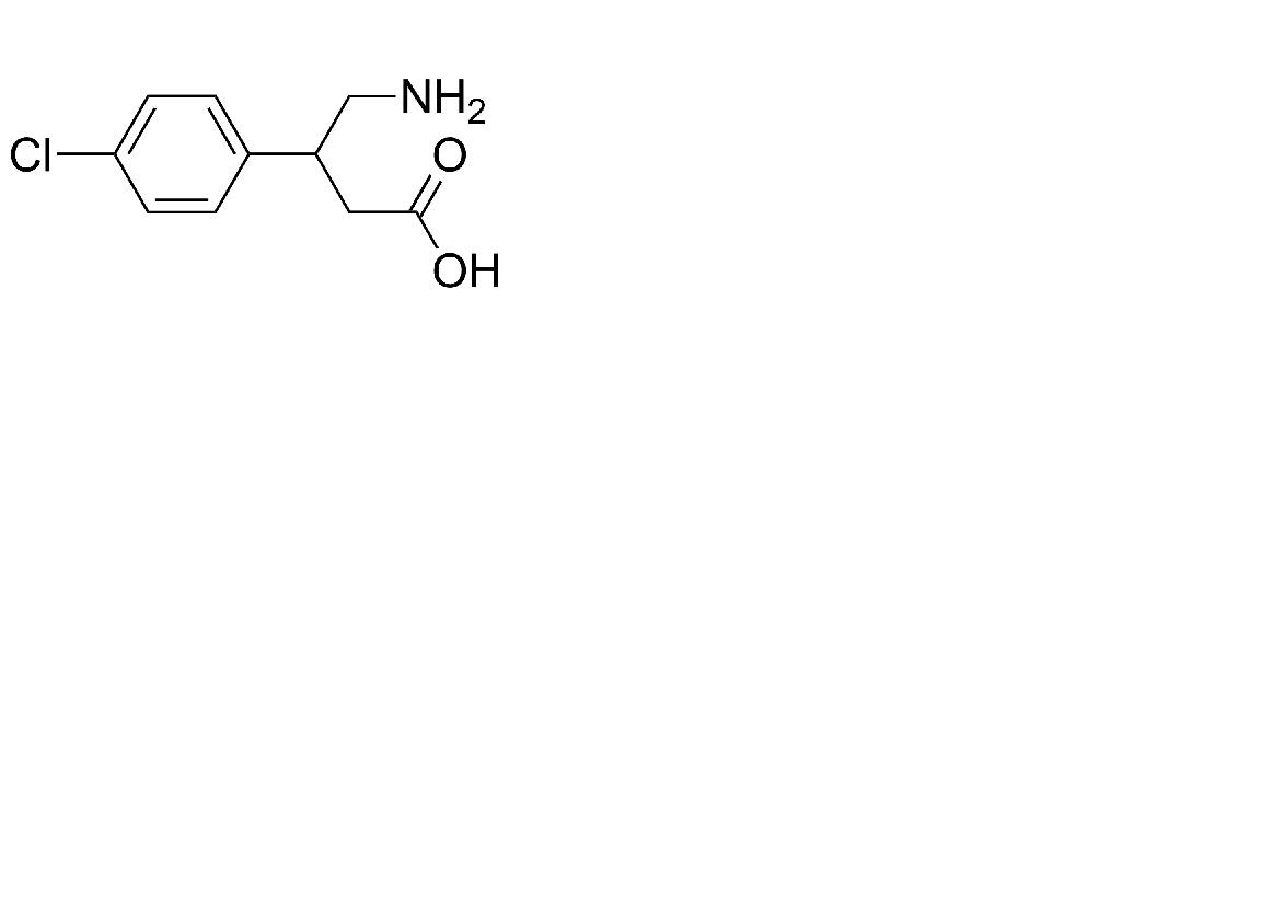
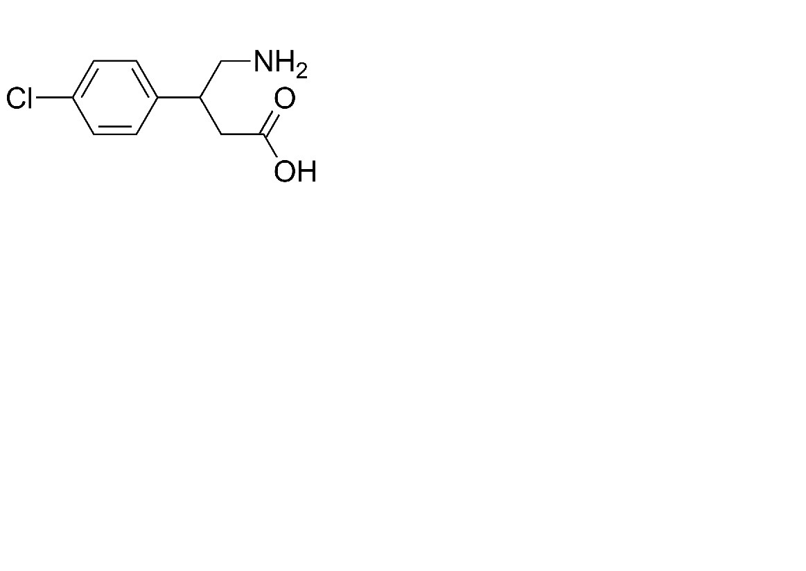
   Kémiai szerkezet   

belsőleges oldat
A keverékek stabilitása   belsőleges oldat   A keverékek stabilitása : Baclofen     
Hiányzó adat

  Mentions Légales