Dernière mise à jour :
27/01/2026
Divers   Baclofen  
Solution buvable
Forme dermique injectable
Stabilité des préparations Stabilité en mélange Facteur influençant la stabilité Compatibilités Bibliographie pdf
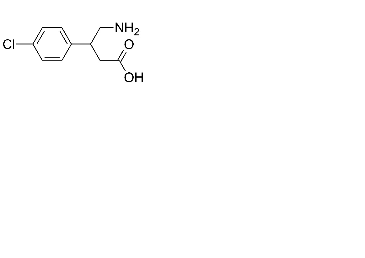
   Structure chimique  

Solution buvable
Stabilité en mélange   Solution buvable   Stabilité en mélange : Baclofen     
Aucune donnée

  Mentions Légales