Τελευταία ενημέρωση :
27/01/2026
Λοιπά   Baclofen  
Πόσιμο διάλυμα
Αλοιφές Ενέσιμο
Σταθερότητα και συμβατότητα των φαρμάκων Σταθερότητα σε μίγματα Παράγοντας που επηρεάζει τη σταθερότητα Συμβατότητες Βιβλιογραφία pdf
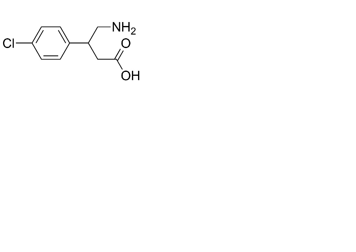
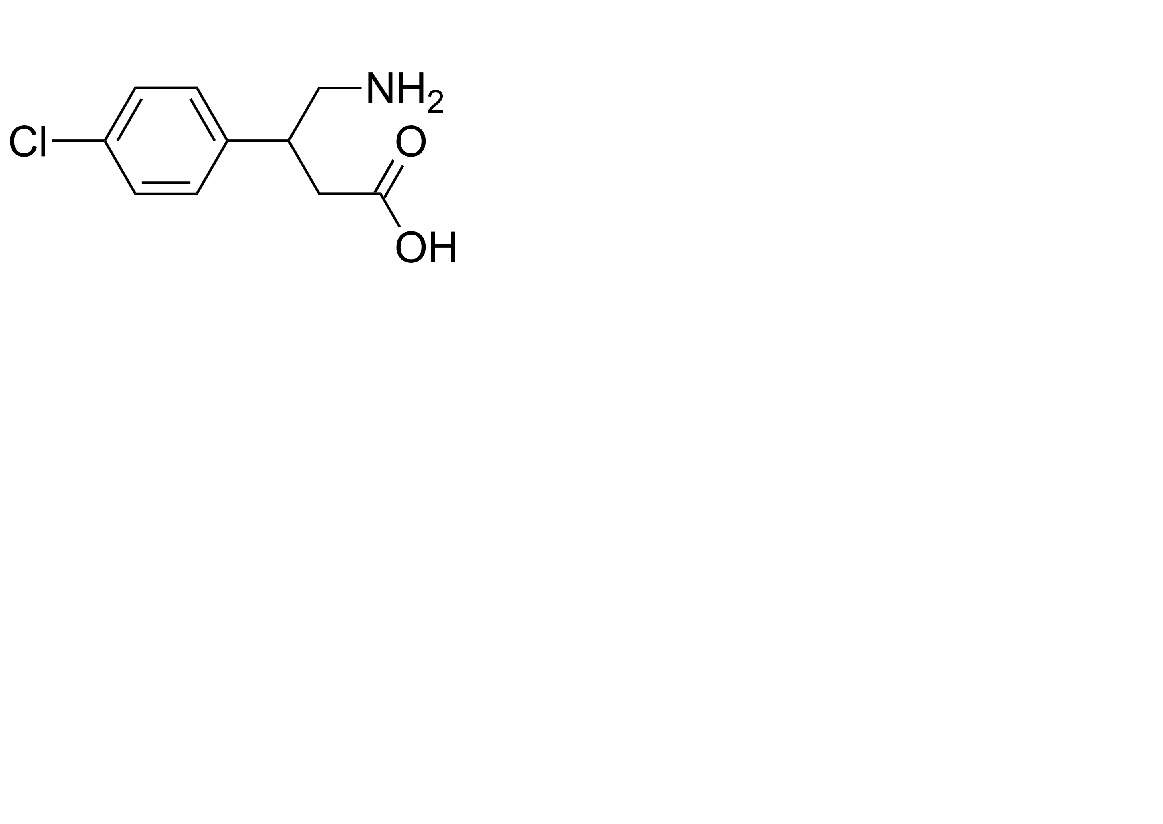
   χημική δομή  

Πόσιμο διάλυμα
Σταθερότητα σε μίγματα   Πόσιμο διάλυμα   Σταθερότητα σε μίγματα : Baclofen     
Δεν υπάρχουν πληροφορίες

  Mentions Légales