Pēdējā atjaunošana :
27/01/2026
Dažādi   Baclofen  
Orāls šķīdums
Injekcija Ziedes
Stabilitāte farmaceitisko preparātu Maisījuma stabilitāte Stabilitāti ietekmējoši faktori Saderība Literatūras saraksts pdf
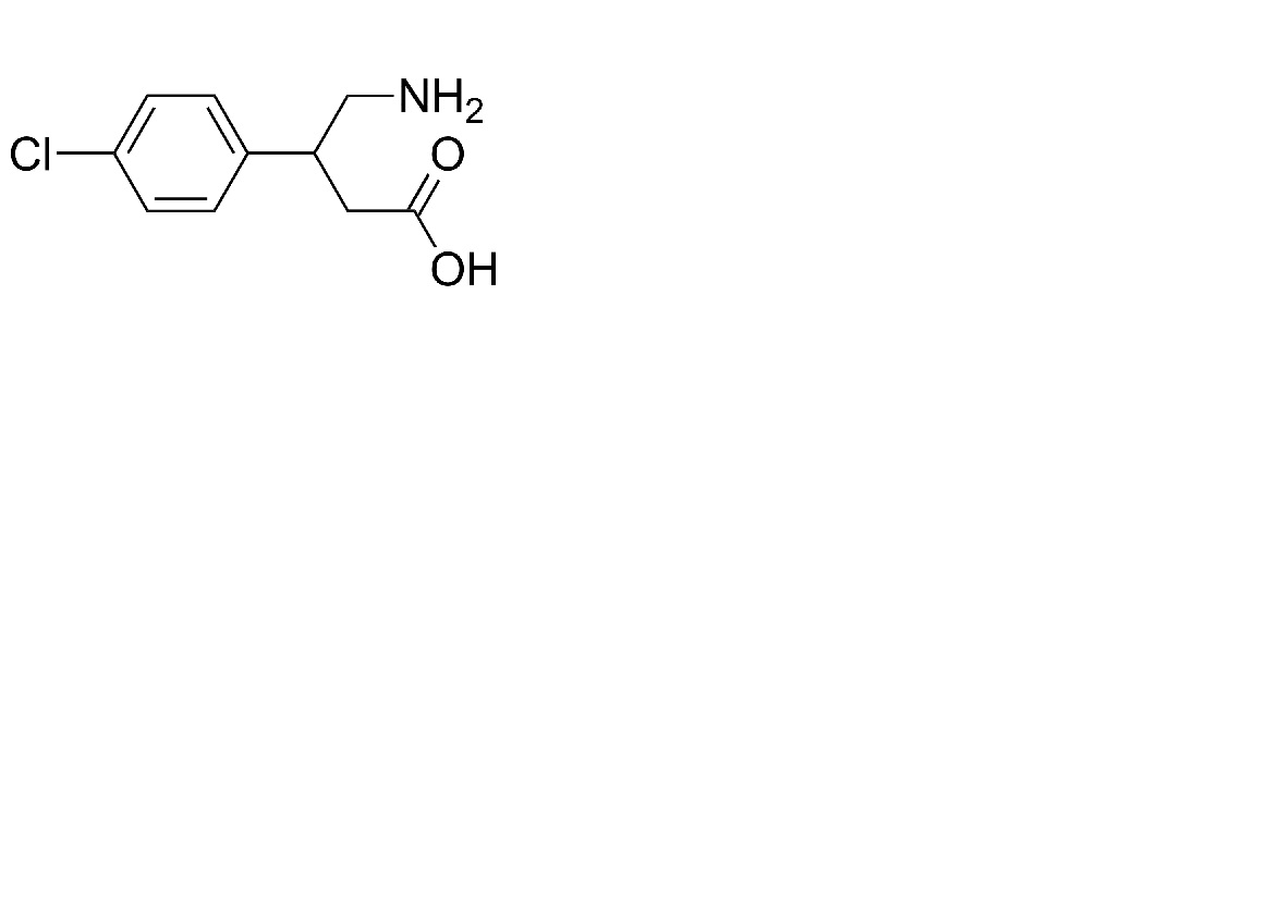
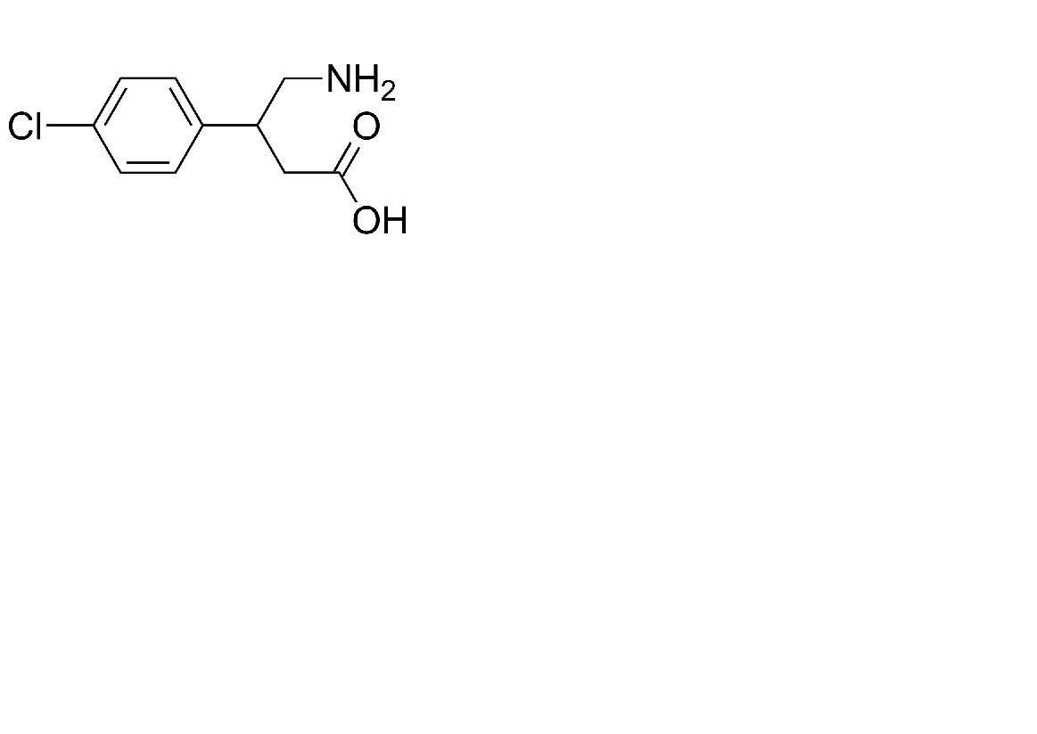
   Ķīmiskā uzbūve   

Orāls šķīdums
Maisījuma stabilitāte   Orāls šķīdums   Maisījuma stabilitāte : Baclofen     
Nav datu

  Mentions Légales