Последно актуализиране :
27/01/2026
Други   Baclofen  
Орален разтвор
Инжекция/Инжекционен Унгвент/Унгвенти
Стабилност на лекарствени препарати Стабилност на смеси Фактори, повлияващи стабилността Съвместимост Библиография Pdf
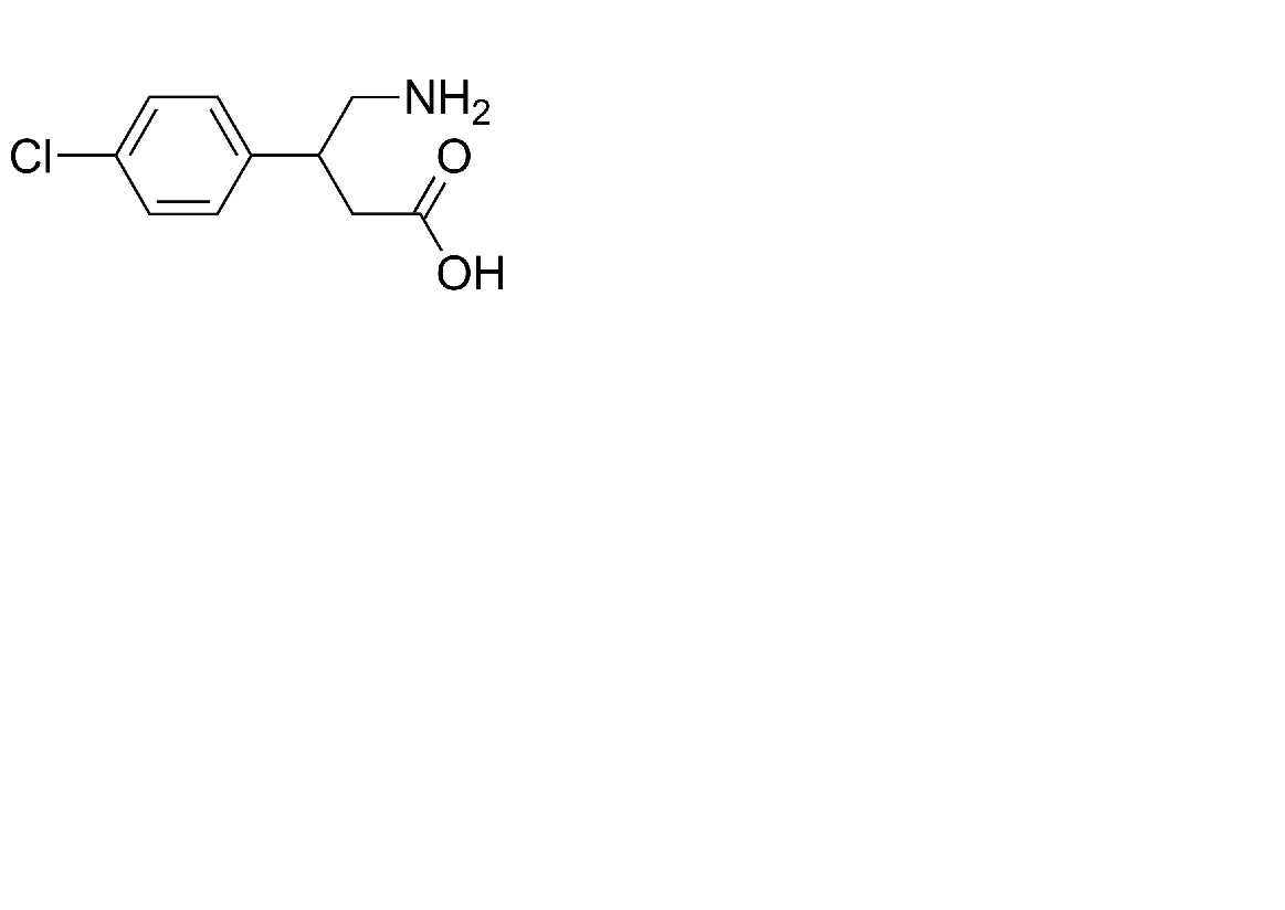
   Химична структура  

Орален разтвор
Стабилност на смеси   Орален разтвор   Стабилност на смеси : Baclofen     
Няма данни

  Mentions Légales