Senaste uppdateringen :
27/01/2026
Diverse   Baclofen  
Oral lösning
injektion Salvor
Stabilitet av läkemedel Stabilitet i blandningar Faktorer som påverkar stabiliteten Kompatibilitet Hänvisningar pdf
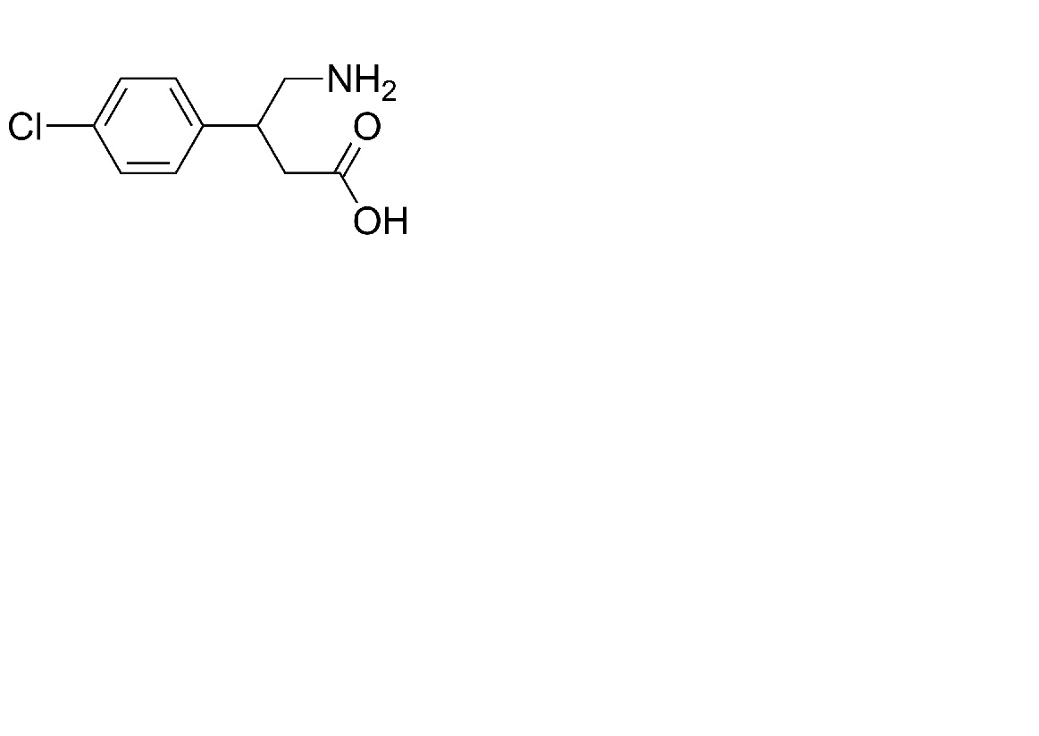
   Molekylstruktur  

Oral lösning
Stabilitet i blandningar   Oral lösning   Stabilitet i blandningar : Baclofen     
Ingen uppgift

  Mentions Légales