Seneste opdatering :
27/01/2026
Diverse   Baclofen  
Oral opløsning
Injektion Salver
Stabilitet af farmaceutiske tilberedninger Stabilitet i blandinger Faktorer der påvirker stabiliteten Kompatibilitet Bibliografi pdf
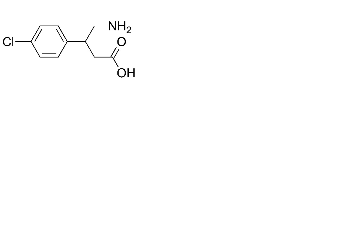
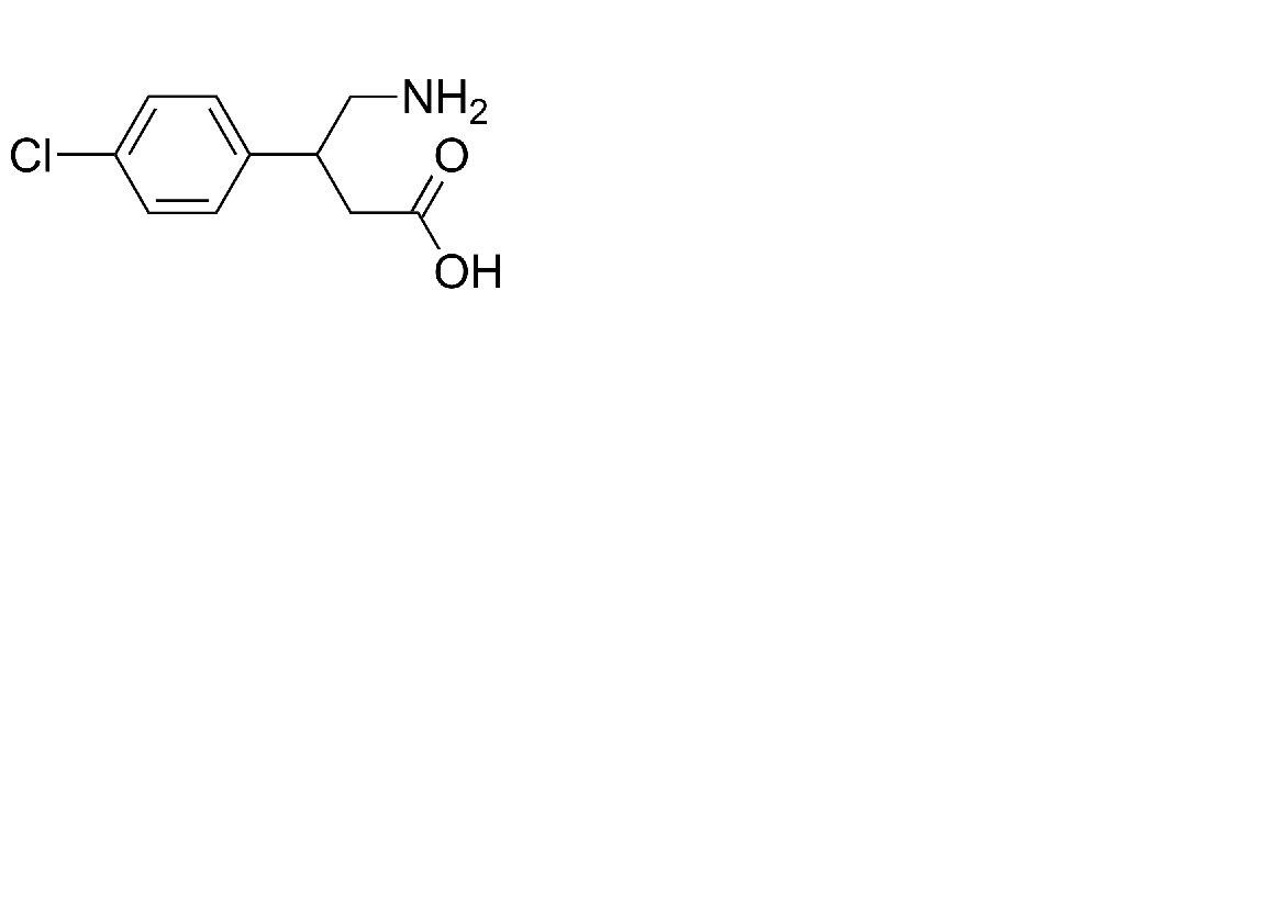
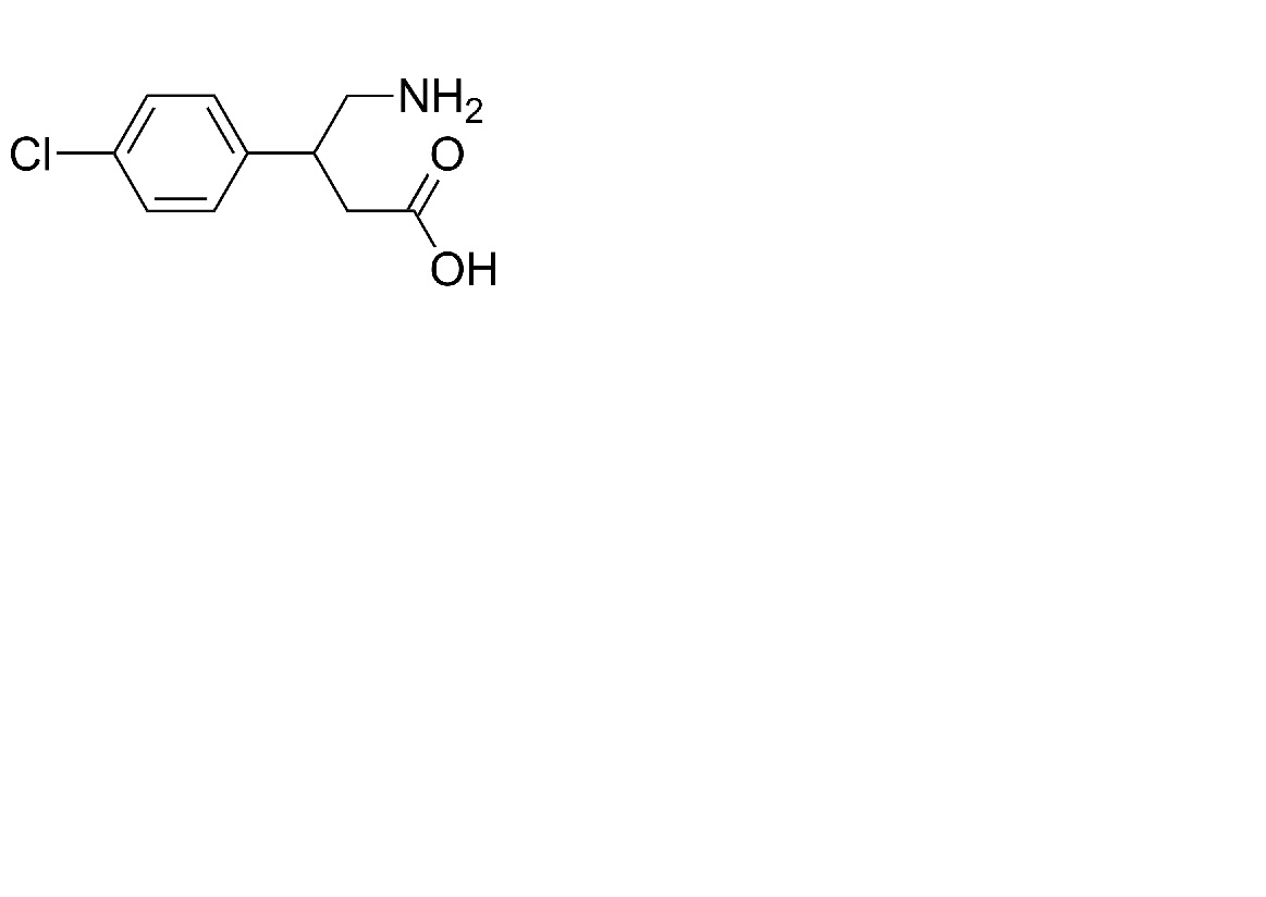
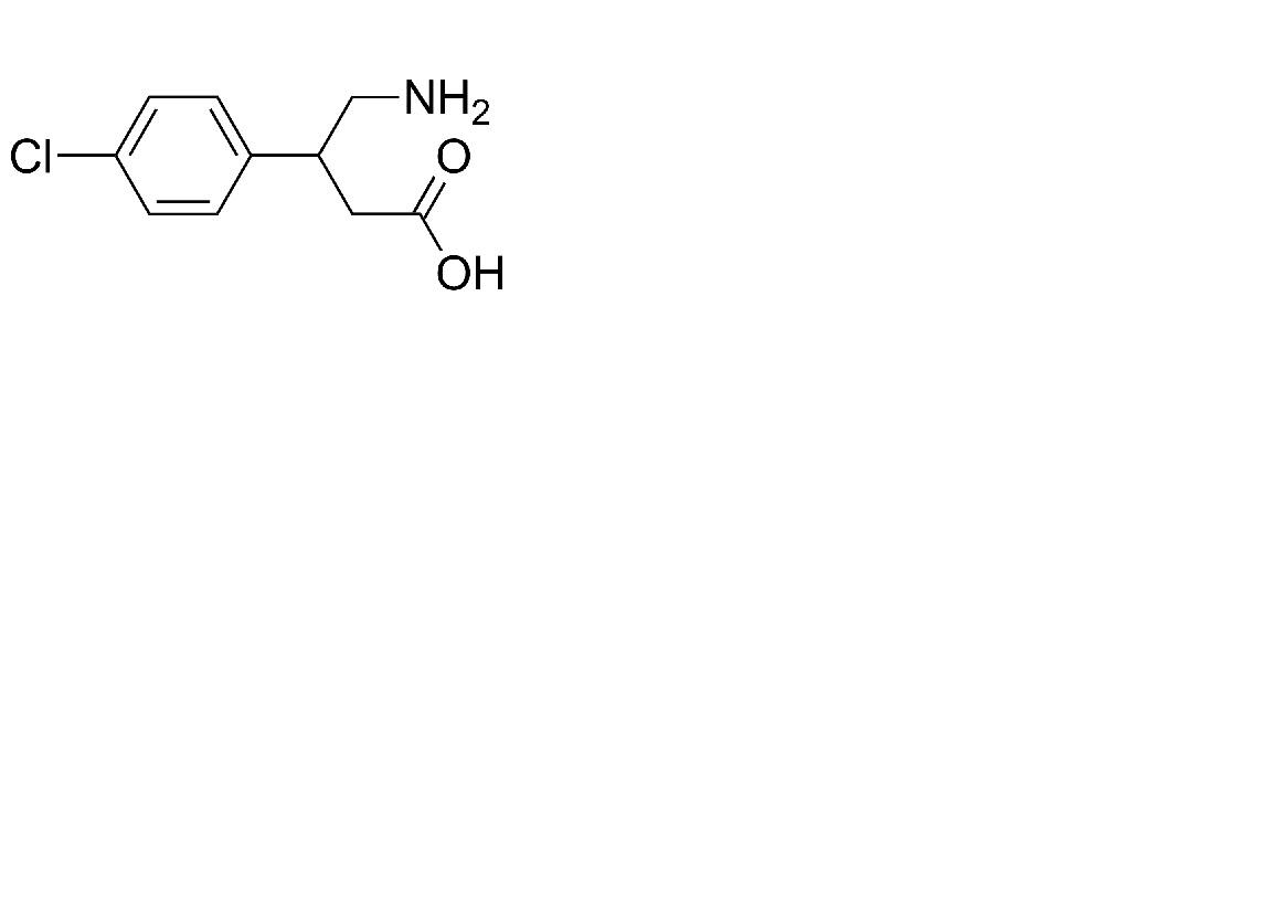
   Kemisk struktur  

Oral opløsning
Stabilitet i blandinger   Oral opløsning   Stabilitet i blandinger : Baclofen     
Ingen data

  Mentions Légales