viimane versioon :
27/01/2026
mitmesugune   Baclofen  
suukaudne lahus
salv Süsteravim
Stabiilsust ravimpreparaadid Stabiilsust mõjutavad tegurid stabiilsust mõjutavad faktorid Sobimatus Viited pdf
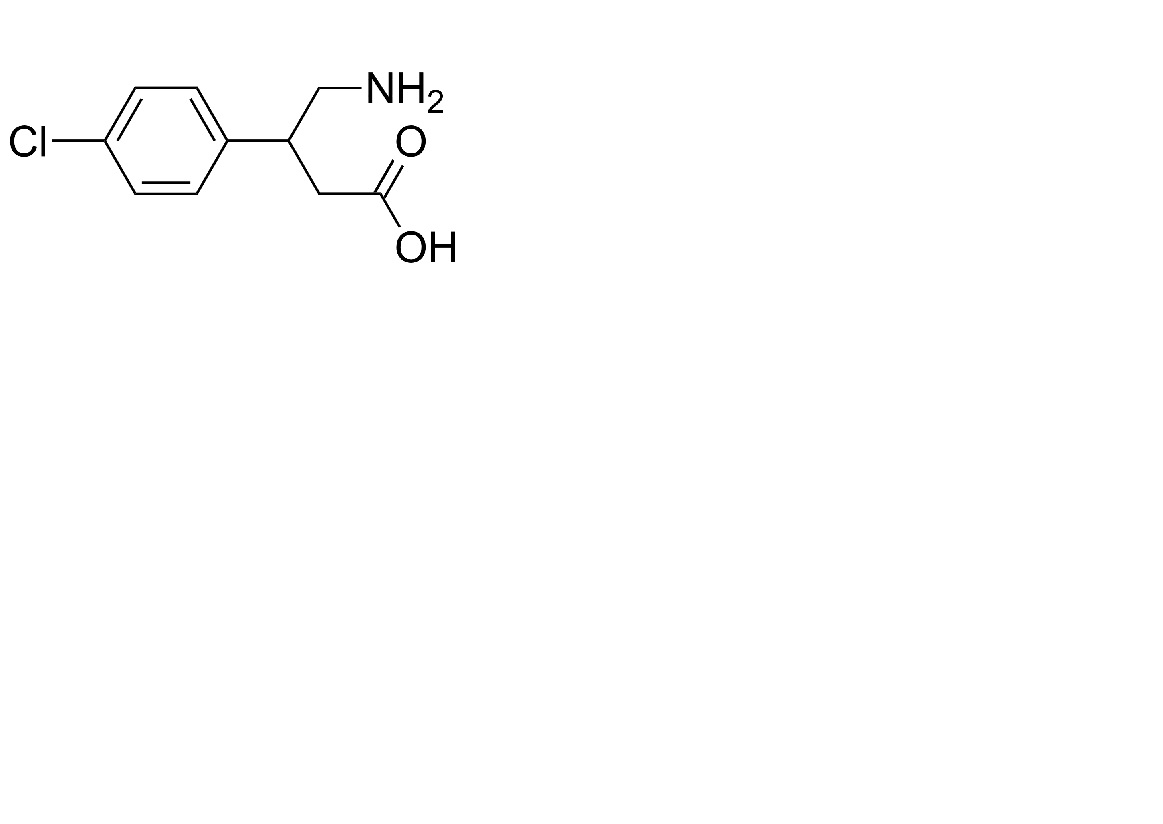
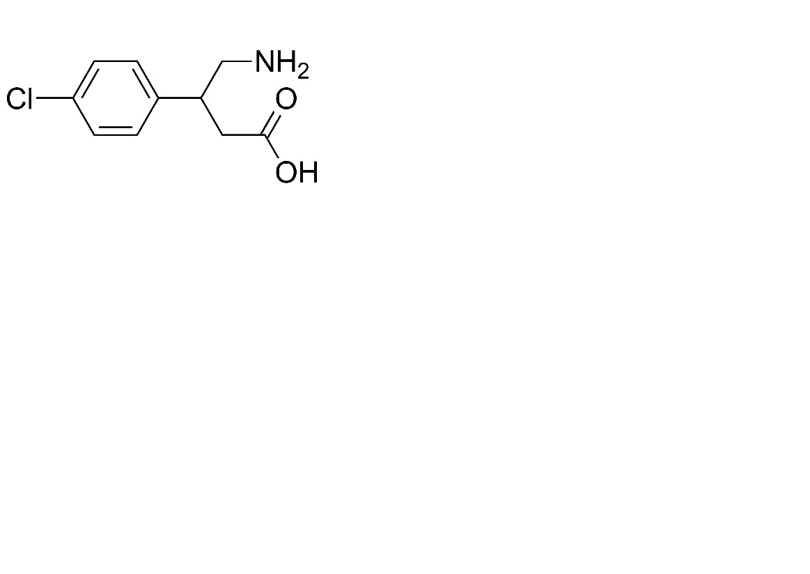
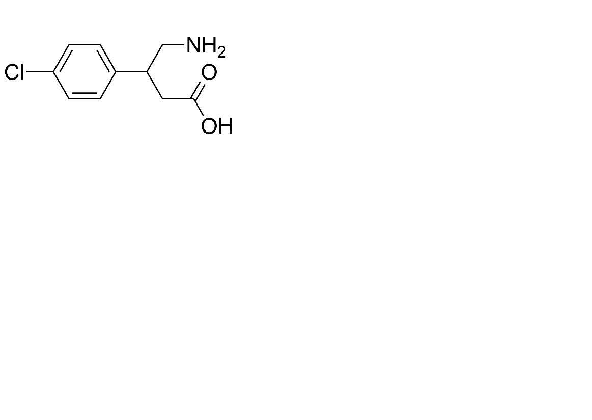
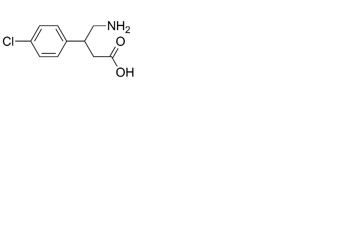
   keemiline struktuur  

suukaudne lahus
Stabiilsust mõjutavad tegurid   suukaudne lahus   Stabiilsust mõjutavad tegurid : Baclofen     
andmed puuduvad

  Mentions Légales