Cập nhật lần cuối :
27/11/2025
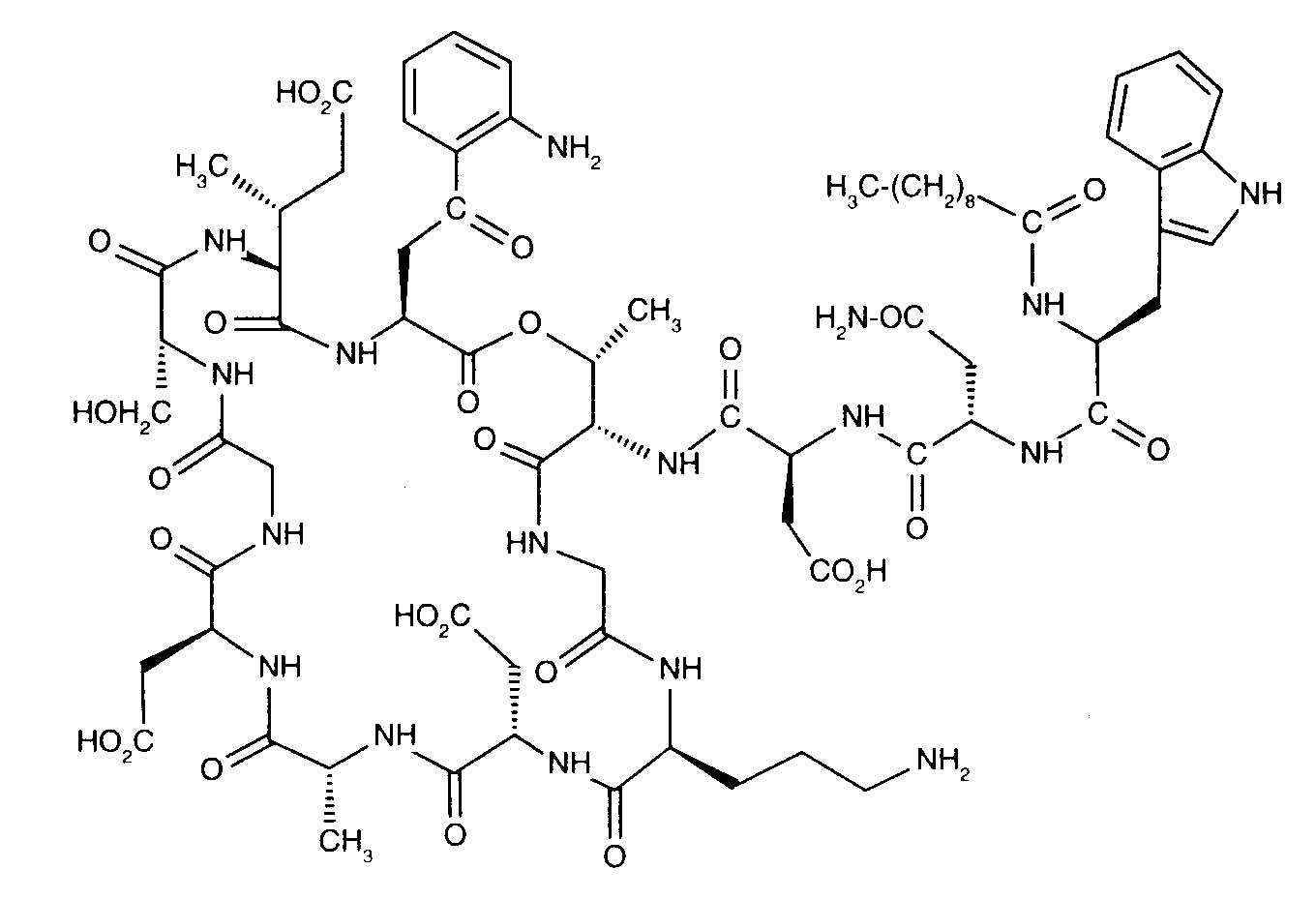
Kháng sinh   Daptomycin  
Dạng tiêm
Tính ổn định của các dung dịch Độ ổn định khi trộn lẫn Những yếu tố ảnh hưởng đến độ ổn định Khả năng tương thích Đường dùng Tài liệu tham khảo Pdf
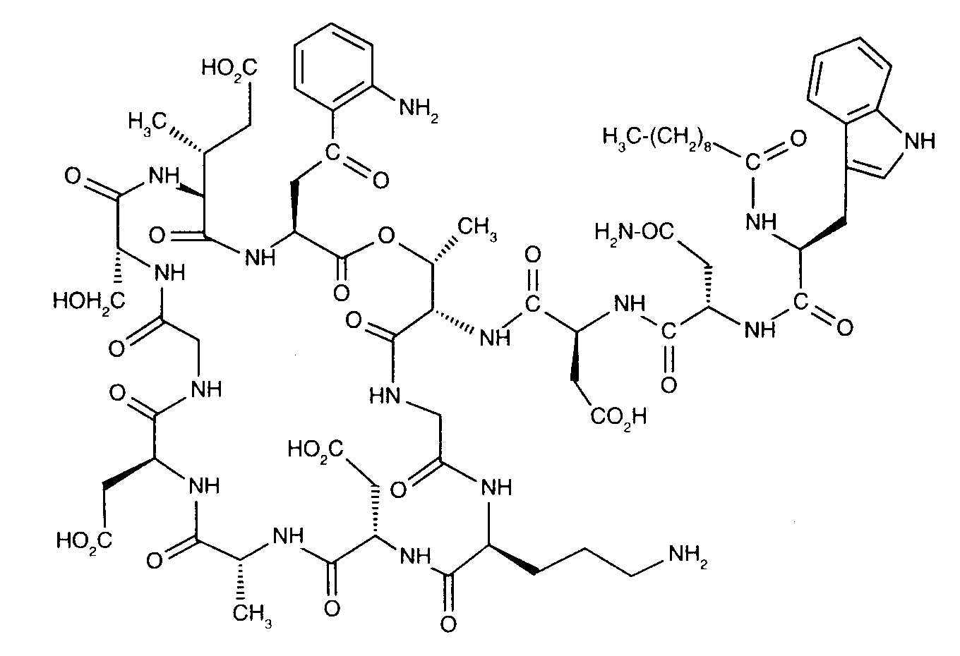
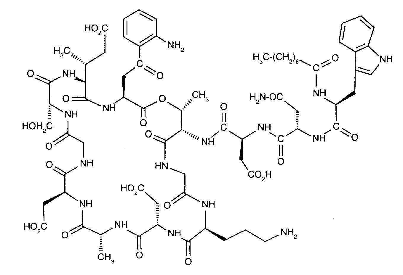
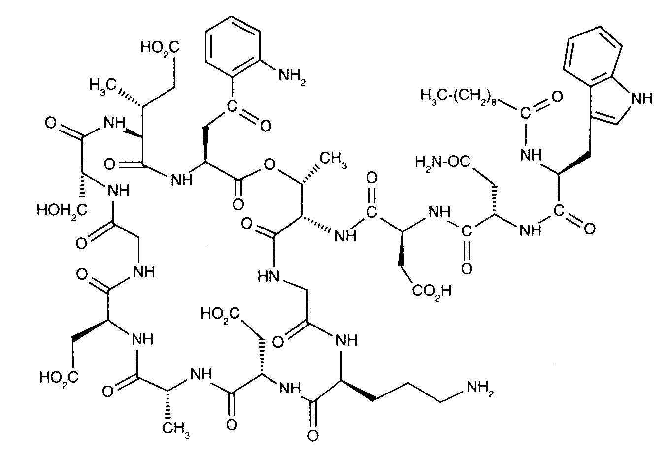
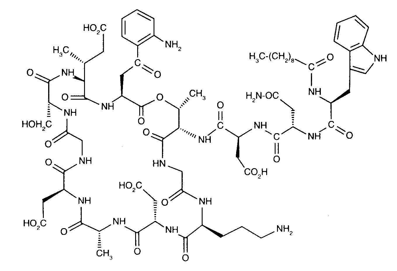
   Cấu trúc hóa học  

Tên thương mại   Tên thương mại     

Các tên thương mại được cung cấp và thành phần tá dược có thể khác nhau giữa các quốc gia và các hãng dược

Cubicin Ấn Độ, Anh, Áo, Argentina, Ba Lan, Bồ Đào Nha, Canada, Chile, Colombia, Hà Lan, Hoa Kỳ, Hungary, Hy Lạp, Iceland, Ireland, Malaysia, Mexico, Na Uy, new zealand, Nhật, Phần Lan, Pháp, Romania, Tây Ban Nha, Thổ Nhĩ Kỳ, Thụy Sỹ, Thụy Điển, Úc, Venezuela, Ý, Đan Mạch, Đức
Daptomicina Argentina, Tây Ban Nha, Ý
Daptomicine Anh, Hungary, Na Uy, Phần Lan, Đức
Exfuno Brazil, Chile
Stenkivar Nigeria
Trisk Brazil
Tính ổn định của các dung dịch   Dạng tiêm   Tính ổn định của các dung dịch : Daptomycin     
Bao bì Dung môi Nồng độ Nhiệt độ Bảo quản Thời gian ổn định Mục lục
Thủy tinh Nước cất pha tiêm 50 mg/ml 2-8°C Không rõ
48 Giờ
2271
Các dữ liệu về độ ổn định của nhà sản xuất

Thủy tinh Nước cất pha tiêm 50 mg/ml 25°C Không rõ
12 Giờ
2271
Các dữ liệu về độ ổn định của nhà sản xuất

Thủy tinh NaCl 0,9% 50 mg/ml 2-8°C Không rõ
48 Giờ
2271
Các dữ liệu về độ ổn định của nhà sản xuất

Thủy tinh NaCl 0,9% 50 mg/ml 2-8°C Tránh ánh sáng
7 Ngày
4074
Cấp độ bằng chứng C

Thủy tinh NaCl 0,9% 50 mg/ml 25°C Không rõ
12 Giờ
2271
Các dữ liệu về độ ổn định của nhà sản xuất

Thủy tinh NaCl 0,9% 50 mg/ml 25°C Tránh ánh sáng
2 Ngày
4074
Cấp độ bằng chứng C

Thủy tinh Physionéal® 1.36 (Baxter) 100 mg/ml 25°C Tránh ánh sáng
6 Giờ
3218
Cấp độ bằng chứng D

Thủy tinh Physionéal® 1.36 (Baxter) 100 mg/ml 37°C Tránh ánh sáng
6 Giờ
3218
Cấp độ bằng chứng D

Thủy tinh Physionéal® 1.36 (Baxter) 100 mg/ml 4°C Tránh ánh sáng
24 Giờ
3218
Cấp độ bằng chứng D

Nhựa polyvinyl chloride Extraneal® (Baxter) 0,070 mg/ml 25°C Không rõ
24 Giờ
4936
Cấp độ bằng chứng D

Nhựa polyvinyl chloride Extraneal® (Baxter) 0,245 mg/ml 25°C Không rõ
48 Giờ
4936
Cấp độ bằng chứng D

Nhựa polyvinyl chloride Nutrineal® 50 & 200 mg/ml 37°C Tránh ánh sáng
6 Giờ
3218
Cấp độ bằng chứng D

Nhựa polyvinyl chloride Nutrineal® 50 & 200 mg/ml 4°C Tránh ánh sáng
24 Giờ
3218
Cấp độ bằng chứng D

Nhựa polyvinyl chloride Physionéal® 1.36 (Baxter) 0.02 mg/ml 25°C Không rõ
24 Giờ
3439
Cấp độ bằng chứng D

Nhựa polyvinyl chloride Physionéal® 1.36 (Baxter) 0.02 mg/ml 37°C Không rõ
6 Giờ
3439
Cấp độ bằng chứng D

Nhựa polyvinyl chloride Physionéal® 1.36 (Baxter) 50 & 200 mg/ml 25°C Tránh ánh sáng
6 Giờ
3218
Cấp độ bằng chứng D

Nhựa polyvinyl chloride Physionéal® 1.36 (Baxter) 50 & 200 mg/ml 37°C Tránh ánh sáng
6 Giờ
3218
Cấp độ bằng chứng D

Nhựa polyvinyl chloride Physionéal® 1.36 (Baxter) 50 & 200 mg/ml 4°C Tránh ánh sáng
24 Giờ
3218
Cấp độ bằng chứng D

Nhựa polyvinyl chloride Physionéal® 2.27 (Baxter) 0.02 mg/ml 25°C Không rõ
24 Giờ
3439
Cấp độ bằng chứng D

Nhựa polyvinyl chloride Physionéal® 2.27 (Baxter) 0.02 mg/ml 37°C Không rõ
6 Giờ
3439
Cấp độ bằng chứng D

Nhựa polyvinyl chloride Dianéal® 2.5% glucose (Baxter) 0,070 mg/ml 25°C Không rõ
24 Giờ
4936
Cấp độ bằng chứng D

Nhựa polyvinyl chloride Dianéal® 2.5% glucose (Baxter) 0,245 mg/ml 25°C Không rõ
12 Giờ
4936
Cấp độ bằng chứng D

Nhựa polypropylen NaCl 0,9% 14 mg/ml 2-8°C Tránh ánh sáng
7 Ngày
4074
Cấp độ bằng chứng C

Nhựa polypropylen NaCl 0,9% 14 mg/ml 25°C Tránh ánh sáng
4 Ngày
4074
Cấp độ bằng chứng C

Nhựa polypropylen NaCl 0,9% 5,6 mg/ml 2-8°C Tránh ánh sáng
7 Ngày
4074
Cấp độ bằng chứng C

Nhựa polypropylen NaCl 0,9% 5,6 mg/ml 25°C Tránh ánh sáng
2 Ngày
4074
Cấp độ bằng chứng C

Không rõ NaCl 0,9% ? mg/ml 2-8°C Không rõ
24 Giờ
2271
Các dữ liệu về độ ổn định của nhà sản xuất

Không rõ NaCl 0,9% ? mg/ml 25°C Không rõ
12 Giờ
2271
Các dữ liệu về độ ổn định của nhà sản xuất


  Mentions Légales