Posledná aktualizácia :
27/11/2025
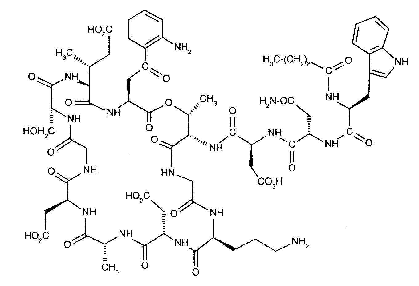
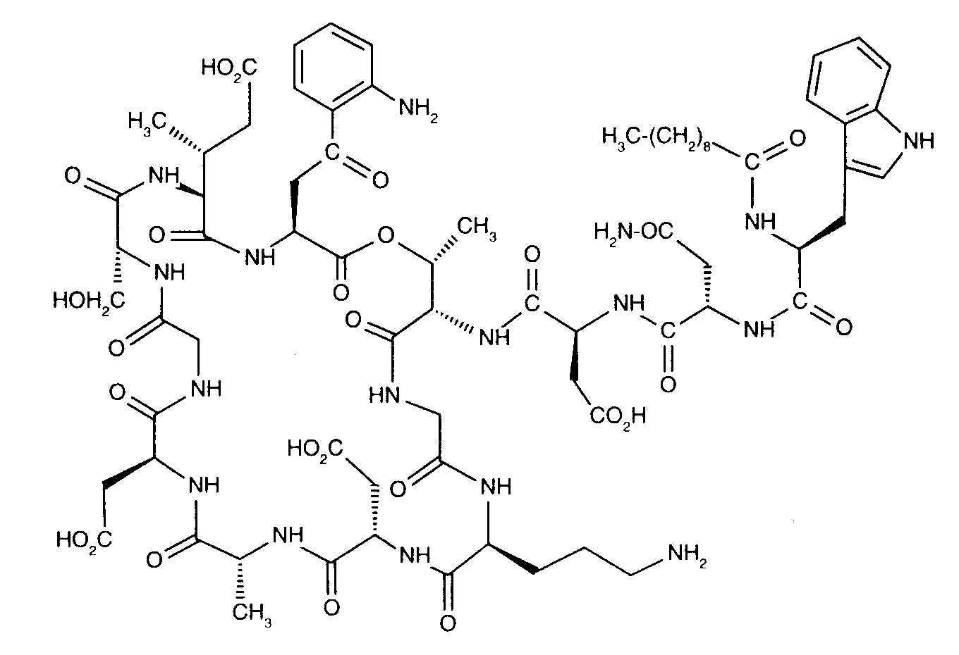
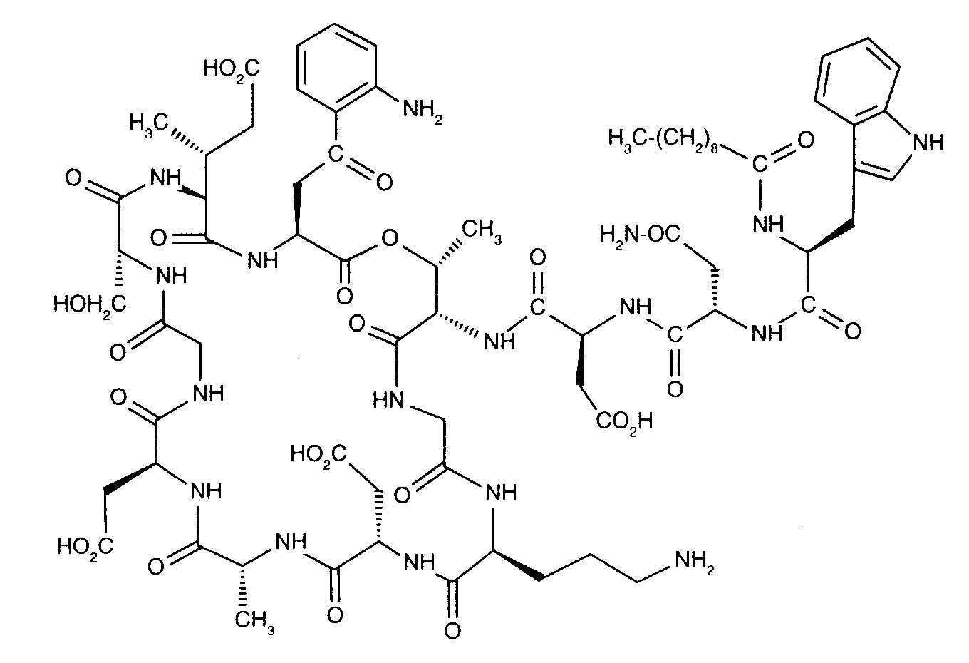
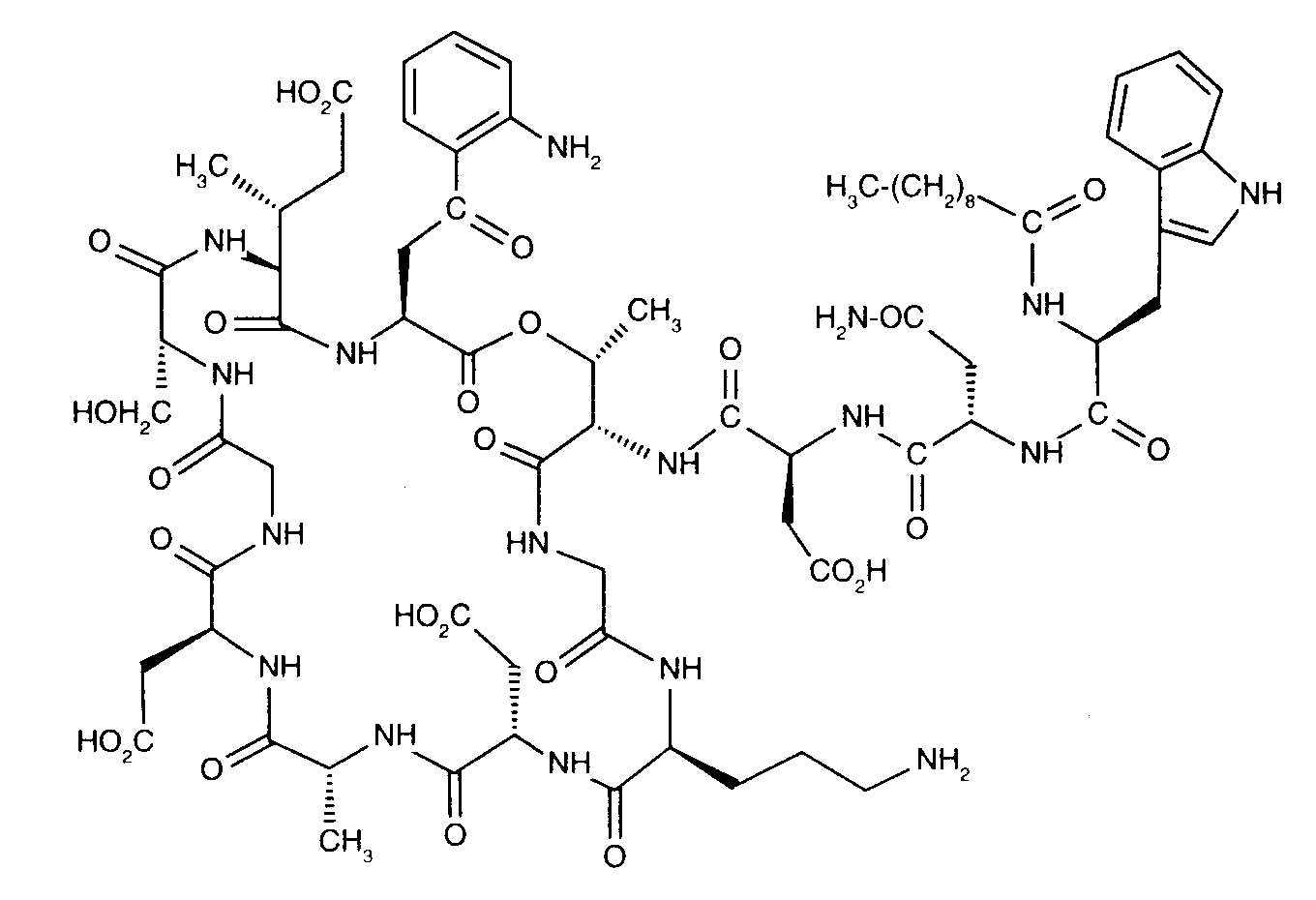
antibiotikum   Daptomycin  
Injekcia
Stabilita roztokov Stabilita v zmesiach Faktory ovplyvňujúce stabilitu Kompatibility spôsob podania Odkazy na literatúru PDF
   Chemický vzorec  

Obchodný názov   Obchodný názov     

Obchodné názvy sú orientačné, a zloženie pomocných látok sa môže líšiť v závislosti od krajiny a výrobcu.

Cubicin Argentína, Austrália, Čile, Dánsko, Fínsko, Francúzsko, Grécko, Holandsko, India, Írsko, Island, Japonsko, Kanada, Kolumbia, Maďarsko, Malajzia, Mexiko, Nemecko, Nórsko, nový Zéland, Poľsko, Portugalsko, Rakúsko, Rumunsko, Španielsko, Spojené štáty Americké, Švajčiarsko, Švédsko, Taliansko, Turecko, Veľká Británia, Venezuela
Daptomicina Argentína, Španielsko, Taliansko
Daptomicine Fínsko, Maďarsko, Nemecko, Nórsko, Veľká Británia
Exfuno Brazília, Čile
Stenkivar Nigéria
Trisk Brazília
Stabilita roztokov   Injekcia   Stabilita roztokov : Daptomycin     
obal rozpúšťadlo koncentrácia teplota uchovávanie Trvanie stability odkazy na lieteratúru
Sklo voda na injekciu 50 mg/ml 2-8°C nešpecifikované
48 hodín
2271
Údaje o stabilite od výrobcu

Sklo voda na injekciu 50 mg/ml 25°C nešpecifikované
12 hodín
2271
Údaje o stabilite od výrobcu

Sklo 0,9% chlorid sodný 50 mg/ml 2-8°C nešpecifikované
48 hodín
2271
Údaje o stabilite od výrobcu

Sklo 0,9% chlorid sodný 50 mg/ml 2-8°C Chránené pred svetlom
7 dní
4074
Úroveň dôkazov C

Sklo 0,9% chlorid sodný 50 mg/ml 25°C nešpecifikované
12 hodín
2271
Údaje o stabilite od výrobcu

Sklo 0,9% chlorid sodný 50 mg/ml 25°C Chránené pred svetlom
2 dní
4074
Úroveň dôkazov C

Sklo Physionéal® 1.36 (Baxter) 100 mg/ml 25°C Chránené pred svetlom
6 hodín
3218
Úroveň dôkazov D

Sklo Physionéal® 1.36 (Baxter) 100 mg/ml 37°C Chránené pred svetlom
6 hodín
3218
Úroveň dôkazov D

Sklo Physionéal® 1.36 (Baxter) 100 mg/ml 4°C Chránené pred svetlom
24 hodín
3218
Úroveň dôkazov D

polyvinylchlorid (PVC) Extraneal® (Baxter) 0,070 mg/ml 25°C nešpecifikované
24 hodín
4936
Úroveň dôkazov D

polyvinylchlorid (PVC) Extraneal® (Baxter) 0,245 mg/ml 25°C nešpecifikované
48 hodín
4936
Úroveň dôkazov D

polyvinylchlorid (PVC) Nutrineal® 50 & 200 mg/ml 37°C Chránené pred svetlom
6 hodín
3218
Úroveň dôkazov D

polyvinylchlorid (PVC) Nutrineal® 50 & 200 mg/ml 4°C Chránené pred svetlom
24 hodín
3218
Úroveň dôkazov D

polyvinylchlorid (PVC) Physionéal® 1.36 (Baxter) 0.02 mg/ml 25°C nešpecifikované
24 hodín
3439
Úroveň dôkazov D

polyvinylchlorid (PVC) Physionéal® 1.36 (Baxter) 0.02 mg/ml 37°C nešpecifikované
6 hodín
3439
Úroveň dôkazov D

polyvinylchlorid (PVC) Physionéal® 1.36 (Baxter) 50 & 200 mg/ml 25°C Chránené pred svetlom
6 hodín
3218
Úroveň dôkazov D

polyvinylchlorid (PVC) Physionéal® 1.36 (Baxter) 50 & 200 mg/ml 37°C Chránené pred svetlom
6 hodín
3218
Úroveň dôkazov D

polyvinylchlorid (PVC) Physionéal® 1.36 (Baxter) 50 & 200 mg/ml 4°C Chránené pred svetlom
24 hodín
3218
Úroveň dôkazov D

polyvinylchlorid (PVC) Physionéal® 2.27 (Baxter) 0.02 mg/ml 25°C nešpecifikované
24 hodín
3439
Úroveň dôkazov D

polyvinylchlorid (PVC) Physionéal® 2.27 (Baxter) 0.02 mg/ml 37°C nešpecifikované
6 hodín
3439
Úroveň dôkazov D

polyvinylchlorid (PVC) Dianéal® 2.5% glucose (Baxter) 0,070 mg/ml 25°C nešpecifikované
24 hodín
4936
Úroveň dôkazov D

polyvinylchlorid (PVC) Dianéal® 2.5% glucose (Baxter) 0,245 mg/ml 25°C nešpecifikované
12 hodín
4936
Úroveň dôkazov D

polypropylén 0,9% chlorid sodný 14 mg/ml 2-8°C Chránené pred svetlom
7 dní
4074
Úroveň dôkazov C

polypropylén 0,9% chlorid sodný 14 mg/ml 25°C Chránené pred svetlom
4 dní
4074
Úroveň dôkazov C

polypropylén 0,9% chlorid sodný 5,6 mg/ml 2-8°C Chránené pred svetlom
7 dní
4074
Úroveň dôkazov C

polypropylén 0,9% chlorid sodný 5,6 mg/ml 25°C Chránené pred svetlom
2 dní
4074
Úroveň dôkazov C

nešpecifikované 0,9% chlorid sodný ? mg/ml 2-8°C nešpecifikované
24 hodín
2271
Údaje o stabilite od výrobcu

nešpecifikované 0,9% chlorid sodný ? mg/ml 25°C nešpecifikované
12 hodín
2271
Údaje o stabilite od výrobcu


  Mentions Légales