Τελευταία ενημέρωση :
12/12/2025
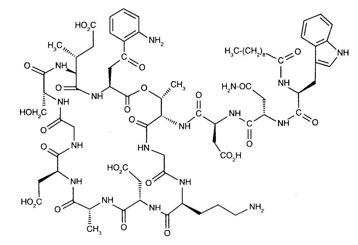
Αντιβιοτικό   Daptomycin  
Ενέσιμο
Σταθερότητα διαλυμάτων Σταθερότητα σε μίγματα Παράγοντας που επηρεάζει τη σταθερότητα Συμβατότητες Τρόπος χορήγησης Βιβλιογραφία pdf
   χημική δομή  

Εμπορική ονομασία   Εμπορική ονομασία     

Οι εμπορικές ονομασίες είναι ενδεικτικές και η σύνθεση των εκδόχων μπορεί να διαφέρει ανάλογα με τη χώρα και τα εργαστήρια

Cubicin Αργεντινή, Αυστραλία, Αυστρία, Βενεζουέλα, Γαλλία, Γερμανία, Δανία, Ελβετία, Ελλάδα, Η.Π.Α., Ιαπωνία, Ινδία, Ιρλανδία, Ισλανδία, Ισπανία, Ιταλία, Καναδάς, Κολομβία, Μαλαισία, Μεγάλη Βρετανία, Μεξικό, νέα Ζηλανδία, Νορβηγία, Ολλανδία, Ουγγαρία, Πολωνία, Πορτογαλία, Ρουμανία, Σουηδία, Τουρκία, Φινλανδία, Χιλή
Daptomicina Αργεντινή, Ισπανία, Ιταλία
Daptomicine Γερμανία, Μεγάλη Βρετανία, Νορβηγία, Ουγγαρία, Φινλανδία
Exfuno Βραζιλία, Χιλή
Stenkivar Νιγηρία
Trisk Βραζιλία
Σταθερότητα διαλυμάτων   Ενέσιμο   Σταθερότητα διαλυμάτων : Daptomycin     
Υποδοχέας Διαλυτικό Συγκέντρωση Θερμοκρασία Αποθήκευση Διάρκεια σταθερότητας Βιβλιογραφία
Ύαλος Ενέσιμο ύδωρ 50 mg/ml 2-8°C Απροσδιόριστο
48 Ώρα
2271
Δεδομένα σταθερότητας του κατασκευαστή/ών

Ύαλος Ενέσιμο ύδωρ 50 mg/ml 25°C Απροσδιόριστο
12 Ώρα
2271
Δεδομένα σταθερότητας του κατασκευαστή/ών

Ύαλος Χλωριούχο νάτριο 0,9% 50 mg/ml 2-8°C Απροσδιόριστο
48 Ώρα
2271
Δεδομένα σταθερότητας του κατασκευαστή/ών

Ύαλος Χλωριούχο νάτριο 0,9% 50 mg/ml 2-8°C Προστατεύετε από το φως
7 Ημέρα
4074
Επίπεδο των αποδεικτικών στοιχείων C

Ύαλος Χλωριούχο νάτριο 0,9% 50 mg/ml 25°C Απροσδιόριστο
12 Ώρα
2271
Δεδομένα σταθερότητας του κατασκευαστή/ών

Ύαλος Χλωριούχο νάτριο 0,9% 50 mg/ml 25°C Προστατεύετε από το φως
2 Ημέρα
4074
Επίπεδο των αποδεικτικών στοιχείων C

Ύαλος Physionéal® 1.36 (Baxter) 100 mg/ml 25°C Προστατεύετε από το φως
6 Ώρα
3218
Επίπεδο των αποδεικτικών στοιχείων D

Ύαλος Physionéal® 1.36 (Baxter) 100 mg/ml 37°C Προστατεύετε από το φως
6 Ώρα
3218
Επίπεδο των αποδεικτικών στοιχείων D

Ύαλος Physionéal® 1.36 (Baxter) 100 mg/ml 4°C Προστατεύετε από το φως
24 Ώρα
3218
Επίπεδο των αποδεικτικών στοιχείων D

Πολυβινυλοχλωρίδιο Extraneal® (Baxter) 0,070 mg/ml 25°C Απροσδιόριστο
24 Ώρα
4936
Επίπεδο των αποδεικτικών στοιχείων D

Πολυβινυλοχλωρίδιο Extraneal® (Baxter) 0,245 mg/ml 25°C Απροσδιόριστο
48 Ώρα
4936
Επίπεδο των αποδεικτικών στοιχείων D

Πολυβινυλοχλωρίδιο Nutrineal® 50 & 200 mg/ml 37°C Προστατεύετε από το φως
6 Ώρα
3218
Επίπεδο των αποδεικτικών στοιχείων D

Πολυβινυλοχλωρίδιο Nutrineal® 50 & 200 mg/ml 4°C Προστατεύετε από το φως
24 Ώρα
3218
Επίπεδο των αποδεικτικών στοιχείων D

Πολυβινυλοχλωρίδιο Physionéal® 1.36 (Baxter) 0.02 mg/ml 25°C Απροσδιόριστο
24 Ώρα
3439
Επίπεδο των αποδεικτικών στοιχείων D

Πολυβινυλοχλωρίδιο Physionéal® 1.36 (Baxter) 0.02 mg/ml 37°C Απροσδιόριστο
6 Ώρα
3439
Επίπεδο των αποδεικτικών στοιχείων D

Πολυβινυλοχλωρίδιο Physionéal® 1.36 (Baxter) 50 & 200 mg/ml 25°C Προστατεύετε από το φως
6 Ώρα
3218
Επίπεδο των αποδεικτικών στοιχείων D

Πολυβινυλοχλωρίδιο Physionéal® 1.36 (Baxter) 50 & 200 mg/ml 37°C Προστατεύετε από το φως
6 Ώρα
3218
Επίπεδο των αποδεικτικών στοιχείων D

Πολυβινυλοχλωρίδιο Physionéal® 1.36 (Baxter) 50 & 200 mg/ml 4°C Προστατεύετε από το φως
24 Ώρα
3218
Επίπεδο των αποδεικτικών στοιχείων D

Πολυβινυλοχλωρίδιο Physionéal® 2.27 (Baxter) 0.02 mg/ml 25°C Απροσδιόριστο
24 Ώρα
3439
Επίπεδο των αποδεικτικών στοιχείων D

Πολυβινυλοχλωρίδιο Physionéal® 2.27 (Baxter) 0.02 mg/ml 37°C Απροσδιόριστο
6 Ώρα
3439
Επίπεδο των αποδεικτικών στοιχείων D

Πολυβινυλοχλωρίδιο Dianéal® 2.5% glucose (Baxter) 0,070 mg/ml 25°C Απροσδιόριστο
24 Ώρα
4936
Επίπεδο των αποδεικτικών στοιχείων D

Πολυβινυλοχλωρίδιο Dianéal® 2.5% glucose (Baxter) 0,245 mg/ml 25°C Απροσδιόριστο
12 Ώρα
4936
Επίπεδο των αποδεικτικών στοιχείων D

Πολυπροπυλένιο Χλωριούχο νάτριο 0,9% 14 mg/ml 2-8°C Προστατεύετε από το φως
7 Ημέρα
4074
Επίπεδο των αποδεικτικών στοιχείων C

Πολυπροπυλένιο Χλωριούχο νάτριο 0,9% 14 mg/ml 25°C Προστατεύετε από το φως
4 Ημέρα
4074
Επίπεδο των αποδεικτικών στοιχείων C

Πολυπροπυλένιο Χλωριούχο νάτριο 0,9% 5,6 mg/ml 2-8°C Προστατεύετε από το φως
7 Ημέρα
4074
Επίπεδο των αποδεικτικών στοιχείων C

Πολυπροπυλένιο Χλωριούχο νάτριο 0,9% 5,6 mg/ml 25°C Προστατεύετε από το φως
2 Ημέρα
4074
Επίπεδο των αποδεικτικών στοιχείων C

Απροσδιόριστο Χλωριούχο νάτριο 0,9% ? mg/ml 2-8°C Απροσδιόριστο
24 Ώρα
2271
Δεδομένα σταθερότητας του κατασκευαστή/ών

Απροσδιόριστο Χλωριούχο νάτριο 0,9% ? mg/ml 25°C Απροσδιόριστο
12 Ώρα
2271
Δεδομένα σταθερότητας του κατασκευαστή/ών


  Mentions Légales