zadnja posodobitev :
27/11/2025
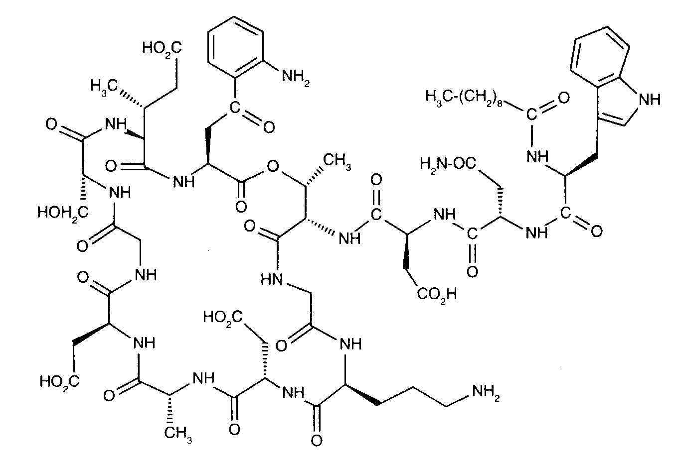
Antibiotik   Daptomycin  
Brizgalka
Stabilnost raztopine Stabilnost mešanice Faktorji, ki vplivajo na stabilnost Kompatibilnost način aplikacije Viri pdf
   Kemična formula  

Lastniško ime   Lastniško ime     

Sestava pomožnih snovi je med paralelami lahko različna

Cubicin Argentina, Avstralija, Avstrija, Čile, Danska, Finska, Francija, Grčija, Indija, Irska, Islandija, Italija, Japonska, Kanada, Kolumbija, Madžarska, Malezija, Mehika, Nemčija, Nizozemska, Norveška, nova Zelandija, Poljska, Portugalska, Romunija, Španija, Švedska, Švica, Turčija, Velika Britanija, Venezuela, Združene države Amerike
Daptomicina Argentina, Italija, Španija
Daptomicine Finska, Madžarska, Nemčija, Norveška, Velika Britanija
Exfuno Brazilija, Čile
Stenkivar Nigerija
Trisk Brazilija
Stabilnost raztopine   Brizgalka   Stabilnost raztopine : Daptomycin     
Vsebnik Topilo Koncentracija Temperatura Shranjevanje Trajanje stabilnosti Viri
Steklo Voda za injekcije 50 mg/ml 2-8°C Nedoločeno
48 čas
2271
Podatki stabilnosti proizvajalca

Steklo Voda za injekcije 50 mg/ml 25°C Nedoločeno
12 čas
2271
Podatki stabilnosti proizvajalca

Steklo Natrijev klorid 0,9% 50 mg/ml 2-8°C Nedoločeno
48 čas
2271
Podatki stabilnosti proizvajalca

Steklo Natrijev klorid 0,9% 50 mg/ml 2-8°C Zaščiteno pred svetlobo
7 Dan
4074
 Stopnja dokaza C

Steklo Natrijev klorid 0,9% 50 mg/ml 25°C Nedoločeno
12 čas
2271
Podatki stabilnosti proizvajalca

Steklo Natrijev klorid 0,9% 50 mg/ml 25°C Zaščiteno pred svetlobo
2 Dan
4074
 Stopnja dokaza C

Steklo Physionéal® 1.36 (Baxter) 100 mg/ml 25°C Zaščiteno pred svetlobo
6 čas
3218
 Stopnja dokaza D

Steklo Physionéal® 1.36 (Baxter) 100 mg/ml 37°C Zaščiteno pred svetlobo
6 čas
3218
 Stopnja dokaza D

Steklo Physionéal® 1.36 (Baxter) 100 mg/ml 4°C Zaščiteno pred svetlobo
24 čas
3218
 Stopnja dokaza D

Polivinil klorid Extraneal® (Baxter) 0,070 mg/ml 25°C Nedoločeno
24 čas
4936
 Stopnja dokaza D

Polivinil klorid Extraneal® (Baxter) 0,245 mg/ml 25°C Nedoločeno
48 čas
4936
 Stopnja dokaza D

Polivinil klorid Nutrineal® 50 & 200 mg/ml 37°C Zaščiteno pred svetlobo
6 čas
3218
 Stopnja dokaza D

Polivinil klorid Nutrineal® 50 & 200 mg/ml 4°C Zaščiteno pred svetlobo
24 čas
3218
 Stopnja dokaza D

Polivinil klorid Physionéal® 1.36 (Baxter) 0.02 mg/ml 25°C Nedoločeno
24 čas
3439
 Stopnja dokaza D

Polivinil klorid Physionéal® 1.36 (Baxter) 0.02 mg/ml 37°C Nedoločeno
6 čas
3439
 Stopnja dokaza D

Polivinil klorid Physionéal® 1.36 (Baxter) 50 & 200 mg/ml 25°C Zaščiteno pred svetlobo
6 čas
3218
 Stopnja dokaza D

Polivinil klorid Physionéal® 1.36 (Baxter) 50 & 200 mg/ml 37°C Zaščiteno pred svetlobo
6 čas
3218
 Stopnja dokaza D

Polivinil klorid Physionéal® 1.36 (Baxter) 50 & 200 mg/ml 4°C Zaščiteno pred svetlobo
24 čas
3218
 Stopnja dokaza D

Polivinil klorid Physionéal® 2.27 (Baxter) 0.02 mg/ml 25°C Nedoločeno
24 čas
3439
 Stopnja dokaza D

Polivinil klorid Physionéal® 2.27 (Baxter) 0.02 mg/ml 37°C Nedoločeno
6 čas
3439
 Stopnja dokaza D

Polivinil klorid Dianéal® 2.5% glucose (Baxter) 0,070 mg/ml 25°C Nedoločeno
24 čas
4936
 Stopnja dokaza D

Polivinil klorid Dianéal® 2.5% glucose (Baxter) 0,245 mg/ml 25°C Nedoločeno
12 čas
4936
 Stopnja dokaza D

Polipropilen Natrijev klorid 0,9% 14 mg/ml 2-8°C Zaščiteno pred svetlobo
7 Dan
4074
 Stopnja dokaza C

Polipropilen Natrijev klorid 0,9% 14 mg/ml 25°C Zaščiteno pred svetlobo
4 Dan
4074
 Stopnja dokaza C

Polipropilen Natrijev klorid 0,9% 5,6 mg/ml 2-8°C Zaščiteno pred svetlobo
7 Dan
4074
 Stopnja dokaza C

Polipropilen Natrijev klorid 0,9% 5,6 mg/ml 25°C Zaščiteno pred svetlobo
2 Dan
4074
 Stopnja dokaza C

Nedoločeno Natrijev klorid 0,9% ? mg/ml 2-8°C Nedoločeno
24 čas
2271
Podatki stabilnosti proizvajalca

Nedoločeno Natrijev klorid 0,9% ? mg/ml 25°C Nedoločeno
12 čas
2271
Podatki stabilnosti proizvajalca


  Mentions Légales