آخر تحديث :
27/04/2026
مضاد حيوي   Daptomycin  
حقن
الاستقرار في حلول استقرار مخاليط العوامل التي تؤثر على الاستقرار التوافق طريقة التعاطي مراجع pdf
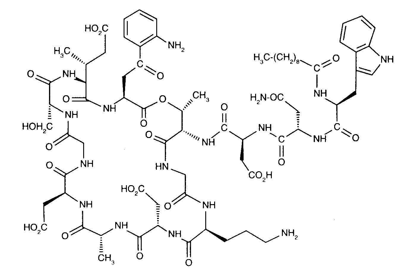
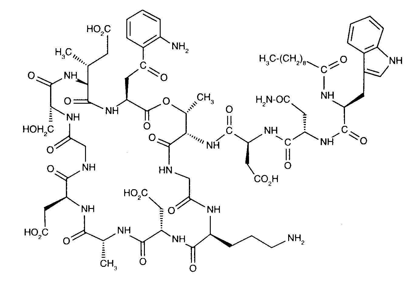
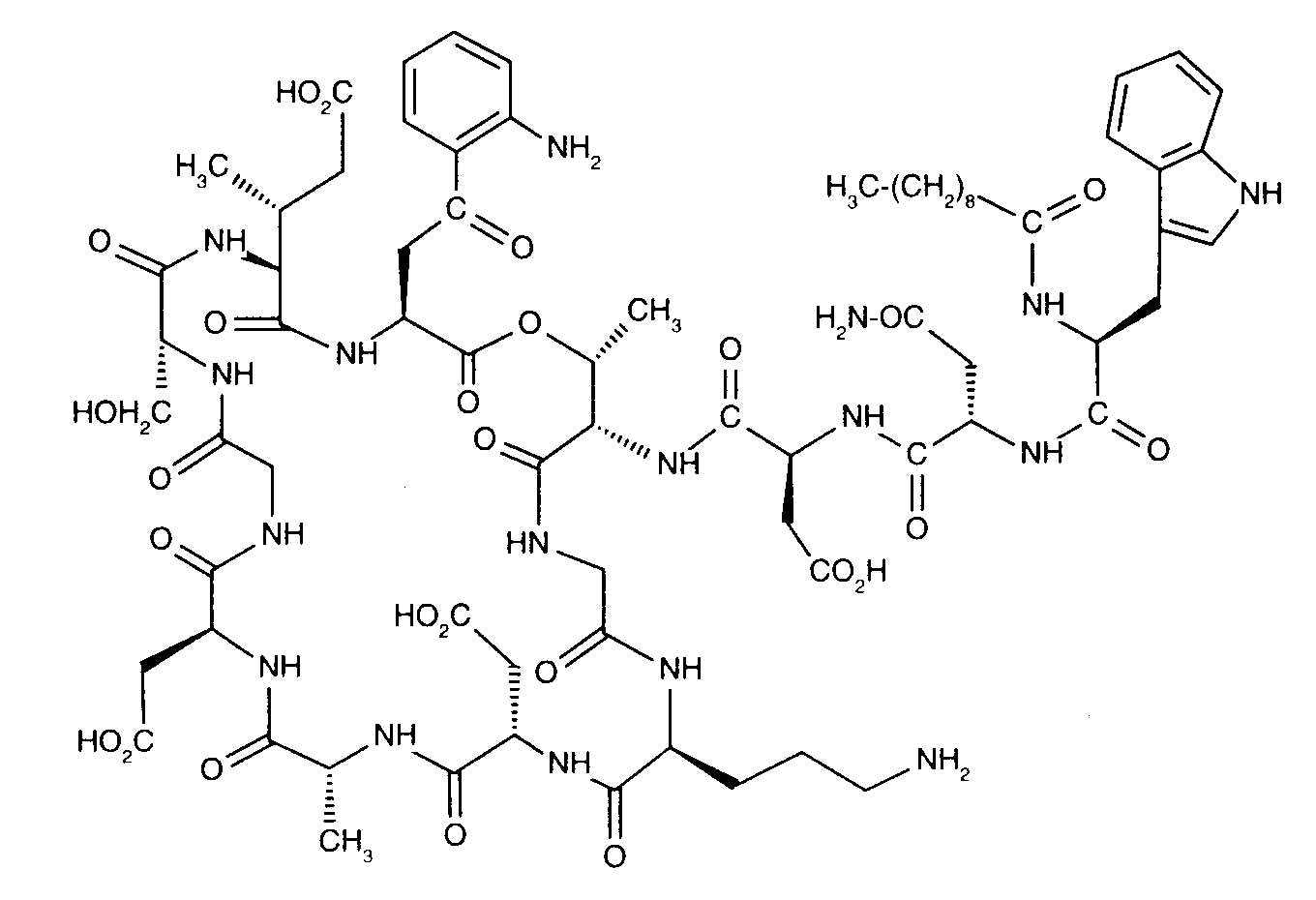
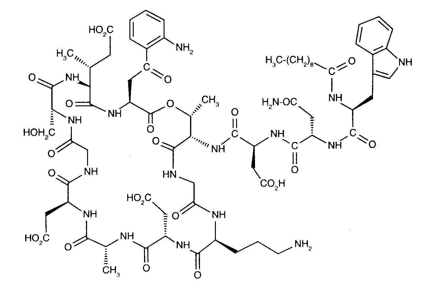
   التركيب الكيميائي  

حجز الاسم التجاري   حجز الاسم التجاري     

تحذير الأسماء التجاريه المختلفه قد تحتوي علي محتوي إضافات مختلفة حسب الدوله و المعمل

Cubicin أستراليا, ألمانيا, أيسلندا, إسبانيا, إيطاليا, الأرجنتين, البرتغال, الدنمارك, السويد, المكسيك, النرويج, النمسا, الهند, الولايات المتحدة, اليابان, ايرلندا, بريطانيا العظمي, بولندا, تركيا, تشيلي, رومانيا, زيلاندا الجديدة, سويسرا, فرنسا, فنزويلا, فنلندا, كندا, كولومبيا, ماليزيا, هنغاريا, هولندا, يونان
Daptomicina إسبانيا, إيطاليا, الأرجنتين
Daptomicine ألمانيا, النرويج, بريطانيا العظمي, فنلندا, هنغاريا
Exfuno البرازيل, تشيلي
Stenkivar نيجيريا
Trisk البرازيل
الاستقرار في حلول   حقن   الاستقرار في حلول : Daptomycin     
حاوية مذيب تركيز درجة الحرارة تخزين مدة الاستقرار مراجع
زجاج حقن المياه لل 50 mg/ml 2-8°C لم يتم تحديد
48 ساعة
2271
بيانات الشركة المصنعة \\ \'ق الاستقرار

زجاج حقن المياه لل 50 mg/ml 25°C لم يتم تحديد
12 ساعة
2271
بيانات الشركة المصنعة \\ \'ق الاستقرار

زجاج كلوريد الصوديوم 0.9% 50 mg/ml 2-8°C لم يتم تحديد
48 ساعة
2271
بيانات الشركة المصنعة \\ \'ق الاستقرار

زجاج كلوريد الصوديوم 0.9% 50 mg/ml 2-8°C بعيدا عن الضوء
7 يوم
4074
C مستوى الأدلة

زجاج كلوريد الصوديوم 0.9% 50 mg/ml 25°C لم يتم تحديد
12 ساعة
2271
بيانات الشركة المصنعة \\ \'ق الاستقرار

زجاج كلوريد الصوديوم 0.9% 50 mg/ml 25°C بعيدا عن الضوء
2 يوم
4074
C مستوى الأدلة

زجاج Physionéal® 1.36 (Baxter) 100 mg/ml 25°C بعيدا عن الضوء
6 ساعة
3218
D مستوى الأدلة

زجاج Physionéal® 1.36 (Baxter) 100 mg/ml 37°C بعيدا عن الضوء
6 ساعة
3218
D مستوى الأدلة

زجاج Physionéal® 1.36 (Baxter) 100 mg/ml 4°C بعيدا عن الضوء
24 ساعة
3218
D مستوى الأدلة

البولي فينيل كلوريد Extraneal  (باكستر) 0,070 mg/ml 25°C لم يتم تحديد
24 ساعة
4936
D مستوى الأدلة

البولي فينيل كلوريد Extraneal  (باكستر) 0,245 mg/ml 25°C لم يتم تحديد
48 ساعة
4936
D مستوى الأدلة

البولي فينيل كلوريد Nutrineal® 50 & 200 mg/ml 37°C بعيدا عن الضوء
6 ساعة
3218
D مستوى الأدلة

البولي فينيل كلوريد Nutrineal® 50 & 200 mg/ml 4°C بعيدا عن الضوء
24 ساعة
3218
D مستوى الأدلة

البولي فينيل كلوريد Physionéal® 1.36 (Baxter) 0.02 mg/ml 25°C لم يتم تحديد
24 ساعة
3439
D مستوى الأدلة

البولي فينيل كلوريد Physionéal® 1.36 (Baxter) 0.02 mg/ml 37°C لم يتم تحديد
6 ساعة
3439
D مستوى الأدلة

البولي فينيل كلوريد Physionéal® 1.36 (Baxter) 50 & 200 mg/ml 25°C بعيدا عن الضوء
6 ساعة
3218
D مستوى الأدلة

البولي فينيل كلوريد Physionéal® 1.36 (Baxter) 50 & 200 mg/ml 37°C بعيدا عن الضوء
6 ساعة
3218
D مستوى الأدلة

البولي فينيل كلوريد Physionéal® 1.36 (Baxter) 50 & 200 mg/ml 4°C بعيدا عن الضوء
24 ساعة
3218
D مستوى الأدلة

البولي فينيل كلوريد Physionéal® 2.27 (Baxter) 0.02 mg/ml 25°C لم يتم تحديد
24 ساعة
3439
D مستوى الأدلة

البولي فينيل كلوريد Physionéal® 2.27 (Baxter) 0.02 mg/ml 37°C لم يتم تحديد
6 ساعة
3439
D مستوى الأدلة

البولي فينيل كلوريد Dianéal® 2.5% glucose (Baxter) 0,070 mg/ml 25°C لم يتم تحديد
24 ساعة
4936
D مستوى الأدلة

البولي فينيل كلوريد Dianéal® 2.5% glucose (Baxter) 0,245 mg/ml 25°C لم يتم تحديد
12 ساعة
4936
D مستوى الأدلة

البولي بروبلين كلوريد الصوديوم 0.9% 14 mg/ml 2-8°C بعيدا عن الضوء
7 يوم
4074
C مستوى الأدلة

البولي بروبلين كلوريد الصوديوم 0.9% 14 mg/ml 25°C بعيدا عن الضوء
4 يوم
4074
C مستوى الأدلة

البولي بروبلين كلوريد الصوديوم 0.9% 5,6 mg/ml 2-8°C بعيدا عن الضوء
7 يوم
4074
C مستوى الأدلة

البولي بروبلين كلوريد الصوديوم 0.9% 5,6 mg/ml 25°C بعيدا عن الضوء
2 يوم
4074
C مستوى الأدلة

لم يتم تحديد كلوريد الصوديوم 0.9% ? mg/ml 2-8°C لم يتم تحديد
24 ساعة
2271
بيانات الشركة المصنعة \\ \'ق الاستقرار

لم يتم تحديد كلوريد الصوديوم 0.9% ? mg/ml 25°C لم يتم تحديد
12 ساعة
2271
بيانات الشركة المصنعة \\ \'ق الاستقرار


  Mentions Légales