Senaste uppdateringen :
27/11/2025
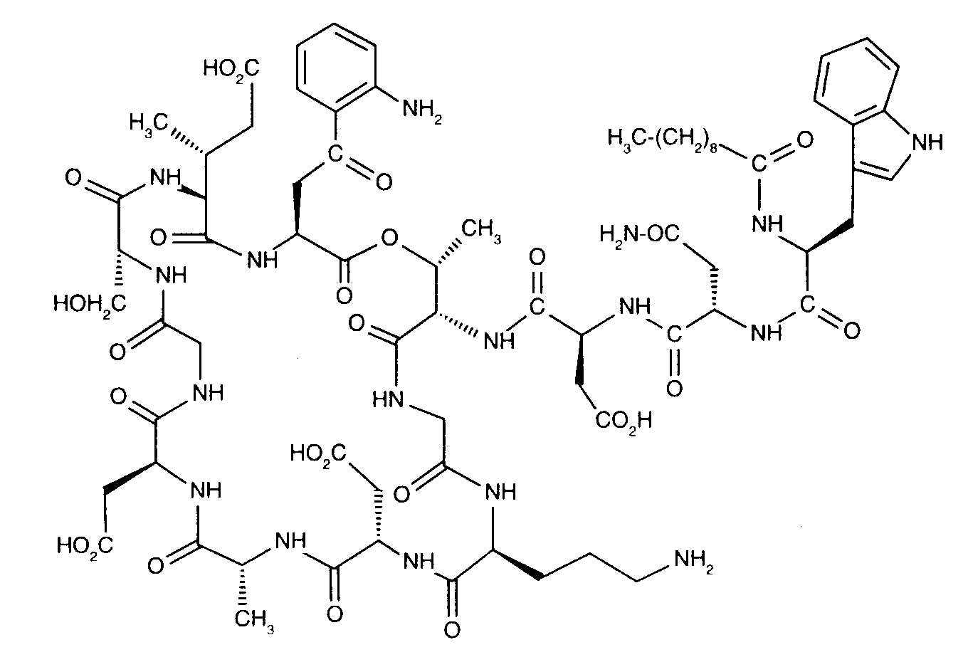
Antibiotikum   Daptomycin  
injektion
Lösningars stabilitet Stabilitet i blandningar Faktorer som påverkar stabiliteten Kompatibilitet Administreringssätt Hänvisningar pdf
   Molekylstruktur  

Varunamn   Varunamn     

Angivna handelsnamn på läkemedel är enbart vägledande då formulering inklusive hjälpämnen kan variera mellan länder och tillverkare

Cubicin Argentina, Australien, Chile, Colombia, Danmark, Finland, Förenta Staterna, Frankrike, Grekland, Indien, Irland, Island, Italien, Japan, Kanada, Malaysia, Mexiko, Nederländerna, Norge, nya Zeeland, Österrike, Polen, Portugal, Rumänien, Schweiz, Spanien, Storbritannien, Sverige, Turkiet, Tyskland, Ungern, Venezuela
Daptomicina Argentina, Italien, Spanien
Daptomicine Finland, Norge, Storbritannien, Tyskland, Ungern
Exfuno Brasilien, Chile
Stenkivar Nigeria
Trisk Brasilien
Lösningars stabilitet   injektion   Lösningars stabilitet : Daptomycin     
Behållare Lösningsmedel Koncentration Temperatur Förvaring Stabilitets varaktighet Hänvisningar
Glas Vatten för injektion 50 mg/ml 2-8°C Ej angiven
48 Timma
2271
Tillverkarens stabilitetsuppgifter

Glas Vatten för injektion 50 mg/ml 25°C Ej angiven
12 Timma
2271
Tillverkarens stabilitetsuppgifter

Glas Natriumklorid 0,9 % 50 mg/ml 2-8°C Ej angiven
48 Timma
2271
Tillverkarens stabilitetsuppgifter

Glas Natriumklorid 0,9 % 50 mg/ml 2-8°C Skyddas från ljus
7 Dag
4074
Evidensnivå C

Glas Natriumklorid 0,9 % 50 mg/ml 25°C Ej angiven
12 Timma
2271
Tillverkarens stabilitetsuppgifter

Glas Natriumklorid 0,9 % 50 mg/ml 25°C Skyddas från ljus
2 Dag
4074
Evidensnivå C

Glas Physionéal® 1.36 (Baxter) 100 mg/ml 25°C Skyddas från ljus
6 Timma
3218
Evidensnivå D

Glas Physionéal® 1.36 (Baxter) 100 mg/ml 37°C Skyddas från ljus
6 Timma
3218
Evidensnivå D

Glas Physionéal® 1.36 (Baxter) 100 mg/ml 4°C Skyddas från ljus
24 Timma
3218
Evidensnivå D

Polyvinylklorid Extraneal® (Baxter) 0,070 mg/ml 25°C Ej angiven
24 Timma
4936
Evidensnivå D

Polyvinylklorid Extraneal® (Baxter) 0,245 mg/ml 25°C Ej angiven
48 Timma
4936
Evidensnivå D

Polyvinylklorid Nutrineal® 50 & 200 mg/ml 37°C Skyddas från ljus
6 Timma
3218
Evidensnivå D

Polyvinylklorid Nutrineal® 50 & 200 mg/ml 4°C Skyddas från ljus
24 Timma
3218
Evidensnivå D

Polyvinylklorid Physionéal® 1.36 (Baxter) 0.02 mg/ml 25°C Ej angiven
24 Timma
3439
Evidensnivå D

Polyvinylklorid Physionéal® 1.36 (Baxter) 0.02 mg/ml 37°C Ej angiven
6 Timma
3439
Evidensnivå D

Polyvinylklorid Physionéal® 1.36 (Baxter) 50 & 200 mg/ml 25°C Skyddas från ljus
6 Timma
3218
Evidensnivå D

Polyvinylklorid Physionéal® 1.36 (Baxter) 50 & 200 mg/ml 37°C Skyddas från ljus
6 Timma
3218
Evidensnivå D

Polyvinylklorid Physionéal® 1.36 (Baxter) 50 & 200 mg/ml 4°C Skyddas från ljus
24 Timma
3218
Evidensnivå D

Polyvinylklorid Physionéal® 2.27 (Baxter) 0.02 mg/ml 25°C Ej angiven
24 Timma
3439
Evidensnivå D

Polyvinylklorid Physionéal® 2.27 (Baxter) 0.02 mg/ml 37°C Ej angiven
6 Timma
3439
Evidensnivå D

Polyvinylklorid Dianéal® 2.5% glucose (Baxter) 0,070 mg/ml 25°C Ej angiven
24 Timma
4936
Evidensnivå D

Polyvinylklorid Dianéal® 2.5% glucose (Baxter) 0,245 mg/ml 25°C Ej angiven
12 Timma
4936
Evidensnivå D

Polypropylen Natriumklorid 0,9 % 14 mg/ml 2-8°C Skyddas från ljus
7 Dag
4074
Evidensnivå C

Polypropylen Natriumklorid 0,9 % 14 mg/ml 25°C Skyddas från ljus
4 Dag
4074
Evidensnivå C

Polypropylen Natriumklorid 0,9 % 5,6 mg/ml 2-8°C Skyddas från ljus
7 Dag
4074
Evidensnivå C

Polypropylen Natriumklorid 0,9 % 5,6 mg/ml 25°C Skyddas från ljus
2 Dag
4074
Evidensnivå C

Ej angiven Natriumklorid 0,9 % ? mg/ml 2-8°C Ej angiven
24 Timma
2271
Tillverkarens stabilitetsuppgifter

Ej angiven Natriumklorid 0,9 % ? mg/ml 25°C Ej angiven
12 Timma
2271
Tillverkarens stabilitetsuppgifter


  Mentions Légales