Последно актуализиране :
27/11/2025
Антибиотик   Daptomycin  
Инжекция/Инжекционен
Стабилност на разтвори Стабилност на смеси Фактори, повлияващи стабилността Съвместимост Път на въвеждане Библиография Pdf
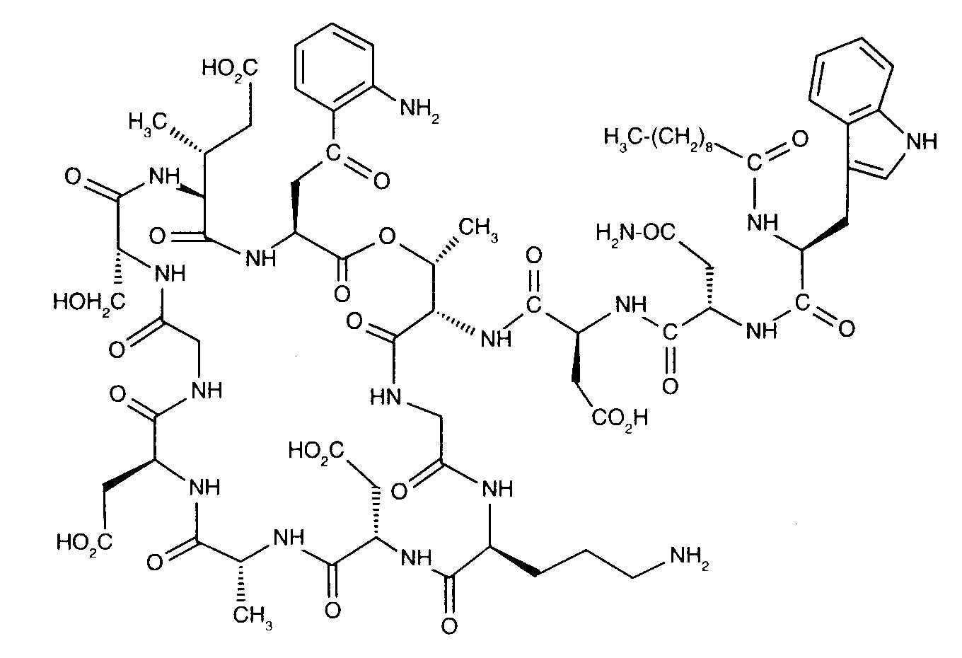
   Химична структура  

Търговско наименование   Търговско наименование     

Търговските имена са примерни и съставът на помощните вещества може да бъде различен в зависимост от държавата и лабораториите

Cubicin Австралия, Австрия, Аржентина, Великобритания, Венецуела, Германия, Гърция, Дания, Индия, Ирландия, Исландия, Испания, Италия, Канада, Колумбия, Малайзия, Мексико, нова Зеландия, Норвегия, Полша, Португалия, Румъния, Съединени Американски щати / САЩ, Турция, Унгария, Финландия, Франция, Холандия, Чили, Швейцария, Швеция, Япония
Daptomicina Аржентина, Испания, Италия
Daptomicine Великобритания, Германия, Норвегия, Унгария, Финландия
Exfuno Бразилия, Чили
Stenkivar Нигерия
Trisk Бразилия
Стабилност на разтвори   Инжекция/Инжекционен   Стабилност на разтвори : Daptomycin     
Контейнер Разтворител Концентрация Температура Съхранение Продължителност на стабилността Библиография
Стъкло Вода за инжекции 50 mg/ml 2-8°C Не е уточнено
48 Час
2271
Данни за стабилност на производителя

Стъкло Вода за инжекции 50 mg/ml 25°C Не е уточнено
12 Час
2271
Данни за стабилност на производителя

Стъкло Sodium chloride 0,9% 50 mg/ml 2-8°C Не е уточнено
48 Час
2271
Данни за стабилност на производителя

Стъкло Sodium chloride 0,9% 50 mg/ml 2-8°C Защита от светлина
7 Ден
4074
Степен на доказаност C

Стъкло Sodium chloride 0,9% 50 mg/ml 25°C Не е уточнено
12 Час
2271
Данни за стабилност на производителя

Стъкло Sodium chloride 0,9% 50 mg/ml 25°C Защита от светлина
2 Ден
4074
Степен на доказаност C

Стъкло Physionéal® 1.36 (Baxter) 100 mg/ml 25°C Защита от светлина
6 Час
3218
Степен на доказаност D

Стъкло Physionéal® 1.36 (Baxter) 100 mg/ml 37°C Защита от светлина
6 Час
3218
Степен на доказаност D

Стъкло Physionéal® 1.36 (Baxter) 100 mg/ml 4°C Защита от светлина
24 Час
3218
Степен на доказаност D

Поливинил хлорид Extraneal® (Baxter) 0,070 mg/ml 25°C Не е уточнено
24 Час
4936
Степен на доказаност D

Поливинил хлорид Extraneal® (Baxter) 0,245 mg/ml 25°C Не е уточнено
48 Час
4936
Степен на доказаност D

Поливинил хлорид Nutrineal® 50 & 200 mg/ml 37°C Защита от светлина
6 Час
3218
Степен на доказаност D

Поливинил хлорид Nutrineal® 50 & 200 mg/ml 4°C Защита от светлина
24 Час
3218
Степен на доказаност D

Поливинил хлорид Physionéal® 1.36 (Baxter) 0.02 mg/ml 25°C Не е уточнено
24 Час
3439
Степен на доказаност D

Поливинил хлорид Physionéal® 1.36 (Baxter) 0.02 mg/ml 37°C Не е уточнено
6 Час
3439
Степен на доказаност D

Поливинил хлорид Physionéal® 1.36 (Baxter) 50 & 200 mg/ml 25°C Защита от светлина
6 Час
3218
Степен на доказаност D

Поливинил хлорид Physionéal® 1.36 (Baxter) 50 & 200 mg/ml 37°C Защита от светлина
6 Час
3218
Степен на доказаност D

Поливинил хлорид Physionéal® 1.36 (Baxter) 50 & 200 mg/ml 4°C Защита от светлина
24 Час
3218
Степен на доказаност D

Поливинил хлорид Physionéal® 2.27 (Baxter) 0.02 mg/ml 25°C Не е уточнено
24 Час
3439
Степен на доказаност D

Поливинил хлорид Physionéal® 2.27 (Baxter) 0.02 mg/ml 37°C Не е уточнено
6 Час
3439
Степен на доказаност D

Поливинил хлорид Dianéal® 2.5% glucose (Baxter) 0,070 mg/ml 25°C Не е уточнено
24 Час
4936
Степен на доказаност D

Поливинил хлорид Dianéal® 2.5% glucose (Baxter) 0,245 mg/ml 25°C Не е уточнено
12 Час
4936
Степен на доказаност D

Полипропилен Sodium chloride 0,9% 14 mg/ml 2-8°C Защита от светлина
7 Ден
4074
Степен на доказаност C

Полипропилен Sodium chloride 0,9% 14 mg/ml 25°C Защита от светлина
4 Ден
4074
Степен на доказаност C

Полипропилен Sodium chloride 0,9% 5,6 mg/ml 2-8°C Защита от светлина
7 Ден
4074
Степен на доказаност C

Полипропилен Sodium chloride 0,9% 5,6 mg/ml 25°C Защита от светлина
2 Ден
4074
Степен на доказаност C

Не е уточнено Sodium chloride 0,9% ? mg/ml 2-8°C Не е уточнено
24 Час
2271
Данни за стабилност на производителя

Не е уточнено Sodium chloride 0,9% ? mg/ml 25°C Не е уточнено
12 Час
2271
Данни за стабилност на производителя


  Mentions Légales