Pēdējā atjaunošana :
27/04/2026
Antibiotika   Daptomycin  
Injekcija
Šķīduma stabilitāte Maisījuma stabilitāte Stabilitāti ietekmējoši faktori Saderība Levadīšanas veids Literatūras saraksts pdf
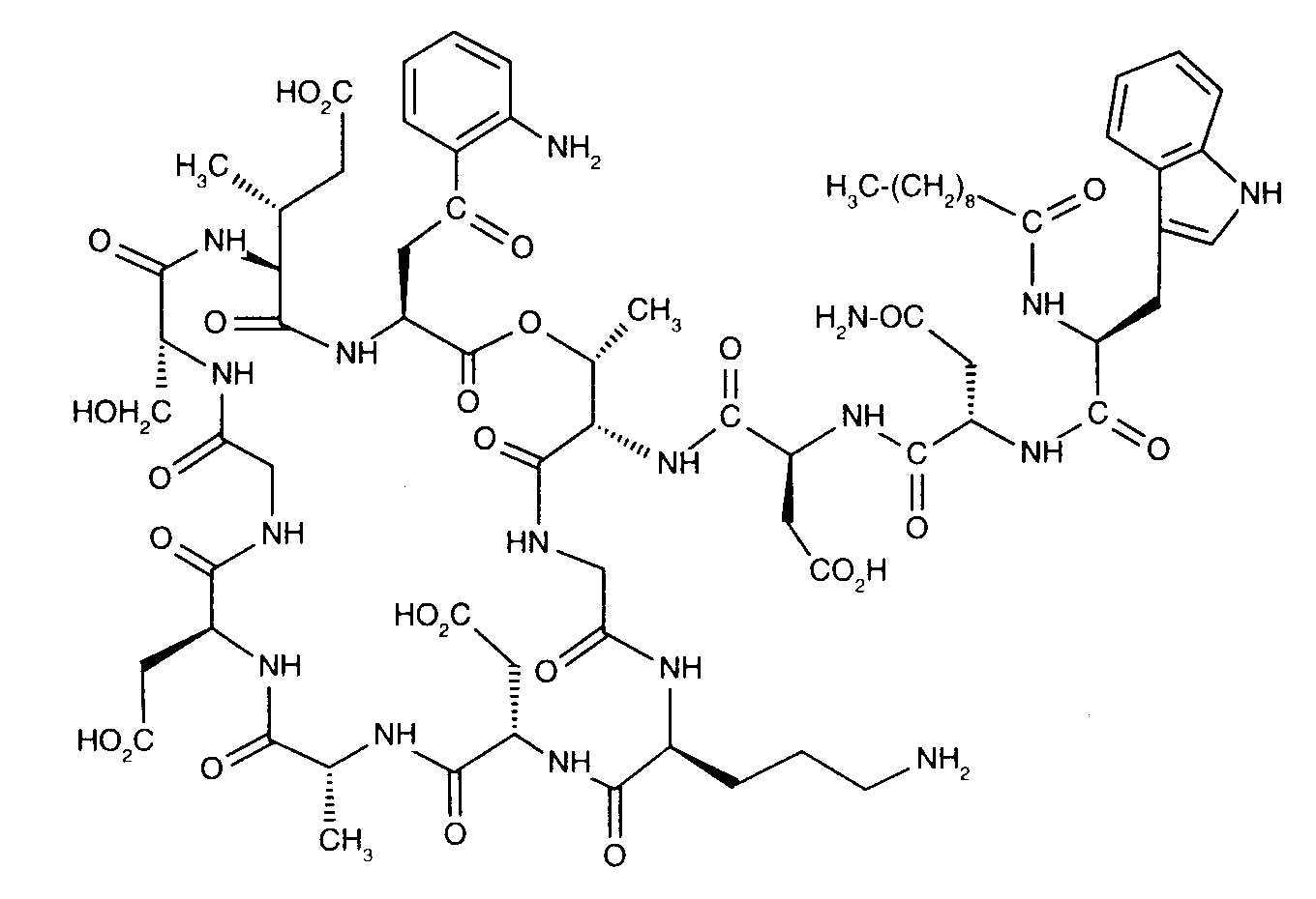
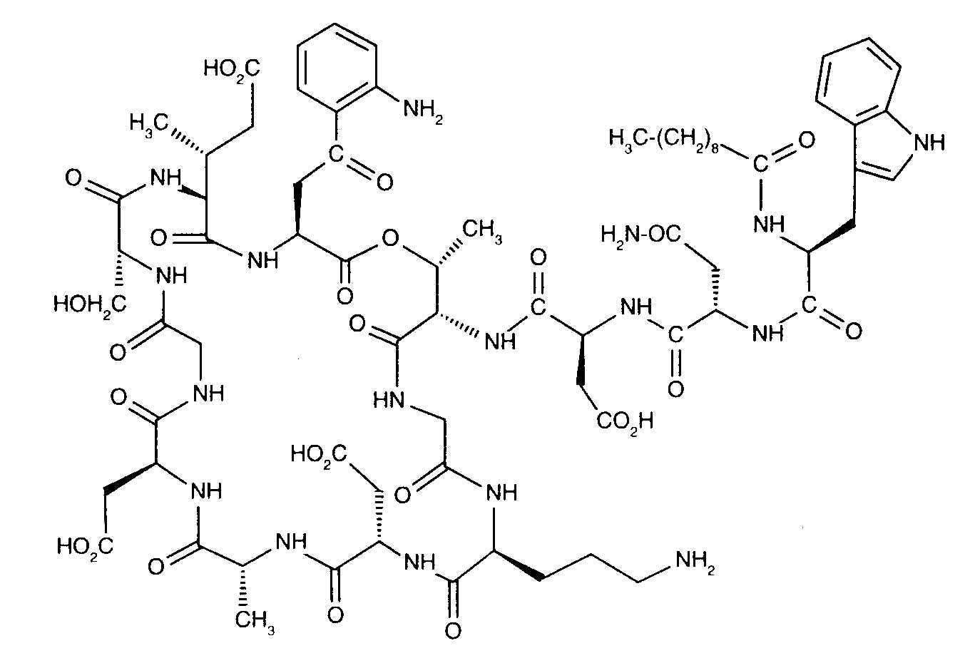
   Ķīmiskā uzbūve   

Oriģinālais nosaukums   Oriģinālais nosaukums     

Tirdzniecības nosaukumi ir apzīmējoši un palīgvielas var atšķirties dažādām valstīm un laboratorijām

Cubicin Amerikas Savienotās Valstis, Argentīna, Austrālija, Austrija, Čīle, Dānija, Francija, Grieķija, Holande, Indija, Īrija, Islande, Itālija, Japāna, Jaunzēlande, Kanāda, Kolumbija, Lielbritānija, Malaizija, Meksika, Norvēģija, Polija, Portugāle, Rumānija, Somija, Spānija, Šveice, Turcija, Ungārija, Vācija, Venecuēla, Zviedrija
Daptomicina Argentīna, Itālija, Spānija
Daptomicine Lielbritānija, Norvēģija, Somija, Ungārija, Vācija
Exfuno Brazīlija, Čīle
Stenkivar Nigērija
Trisk Brazīlija
Šķīduma stabilitāte   Injekcija   Šķīduma stabilitāte : Daptomycin     
Iepakojums Šķīdinātājs Koncentrācija Temperatūra Glabāšana Stabilitātes ilgums Literatūras saraksts
Stikls Ūdens injekcijām 50 mg/ml 2-8°C Nav specifisks
48 Stunda
2271
Ražotāja stabilitātes dati

Stikls Ūdens injekcijām 50 mg/ml 25°C Nav specifisks
12 Stunda
2271
Ražotāja stabilitātes dati

Stikls Nātrija hlorīds 0.9% 50 mg/ml 2-8°C Nav specifisks
48 Stunda
2271
Ražotāja stabilitātes dati

Stikls Nātrija hlorīds 0.9% 50 mg/ml 2-8°C Aizsargāt no gaismas
7 Diena
4074
Pierādījumu līmenis C

Stikls Nātrija hlorīds 0.9% 50 mg/ml 25°C Nav specifisks
12 Stunda
2271
Ražotāja stabilitātes dati

Stikls Nātrija hlorīds 0.9% 50 mg/ml 25°C Aizsargāt no gaismas
2 Diena
4074
Pierādījumu līmenis C

Stikls Physionéal® 1.36 (Baxter) 100 mg/ml 25°C Aizsargāt no gaismas
6 Stunda
3218
Pierādījumu līmenis D

Stikls Physionéal® 1.36 (Baxter) 100 mg/ml 37°C Aizsargāt no gaismas
6 Stunda
3218
Pierādījumu līmenis D

Stikls Physionéal® 1.36 (Baxter) 100 mg/ml 4°C Aizsargāt no gaismas
24 Stunda
3218
Pierādījumu līmenis D

Polivinilhlorīds Extraneal® (Baxter) 0,070 mg/ml 25°C Nav specifisks
24 Stunda
4936
Pierādījumu līmenis D

Polivinilhlorīds Extraneal® (Baxter) 0,245 mg/ml 25°C Nav specifisks
48 Stunda
4936
Pierādījumu līmenis D

Polivinilhlorīds Nutrineal® 50 & 200 mg/ml 37°C Aizsargāt no gaismas
6 Stunda
3218
Pierādījumu līmenis D

Polivinilhlorīds Nutrineal® 50 & 200 mg/ml 4°C Aizsargāt no gaismas
24 Stunda
3218
Pierādījumu līmenis D

Polivinilhlorīds Physionéal® 1.36 (Baxter) 0.02 mg/ml 25°C Nav specifisks
24 Stunda
3439
Pierādījumu līmenis D

Polivinilhlorīds Physionéal® 1.36 (Baxter) 0.02 mg/ml 37°C Nav specifisks
6 Stunda
3439
Pierādījumu līmenis D

Polivinilhlorīds Physionéal® 1.36 (Baxter) 50 & 200 mg/ml 25°C Aizsargāt no gaismas
6 Stunda
3218
Pierādījumu līmenis D

Polivinilhlorīds Physionéal® 1.36 (Baxter) 50 & 200 mg/ml 37°C Aizsargāt no gaismas
6 Stunda
3218
Pierādījumu līmenis D

Polivinilhlorīds Physionéal® 1.36 (Baxter) 50 & 200 mg/ml 4°C Aizsargāt no gaismas
24 Stunda
3218
Pierādījumu līmenis D

Polivinilhlorīds Physionéal® 2.27 (Baxter) 0.02 mg/ml 25°C Nav specifisks
24 Stunda
3439
Pierādījumu līmenis D

Polivinilhlorīds Physionéal® 2.27 (Baxter) 0.02 mg/ml 37°C Nav specifisks
6 Stunda
3439
Pierādījumu līmenis D

Polivinilhlorīds Dianéal® 2.5% glucose (Baxter) 0,070 mg/ml 25°C Nav specifisks
24 Stunda
4936
Pierādījumu līmenis D

Polivinilhlorīds Dianéal® 2.5% glucose (Baxter) 0,245 mg/ml 25°C Nav specifisks
12 Stunda
4936
Pierādījumu līmenis D

Polipropilēns Nātrija hlorīds 0.9% 14 mg/ml 2-8°C Aizsargāt no gaismas
7 Diena
4074
Pierādījumu līmenis C

Polipropilēns Nātrija hlorīds 0.9% 14 mg/ml 25°C Aizsargāt no gaismas
4 Diena
4074
Pierādījumu līmenis C

Polipropilēns Nātrija hlorīds 0.9% 5,6 mg/ml 2-8°C Aizsargāt no gaismas
7 Diena
4074
Pierādījumu līmenis C

Polipropilēns Nātrija hlorīds 0.9% 5,6 mg/ml 25°C Aizsargāt no gaismas
2 Diena
4074
Pierādījumu līmenis C

Nespecifisks Nātrija hlorīds 0.9% ? mg/ml 2-8°C Nav specifisks
24 Stunda
2271
Ražotāja stabilitātes dati

Nespecifisks Nātrija hlorīds 0.9% ? mg/ml 25°C Nav specifisks
12 Stunda
2271
Ražotāja stabilitātes dati


  Mentions Légales