Letztes “update” :
27/11/2025
Antibiotikum   Daptomycin  
Injektion
Stabilität der Lösung Gemengestabilität Stabilitätbeeinflussende Faktoren Kompatibilitäten Applikationsart Literaturverzeichnis pdf
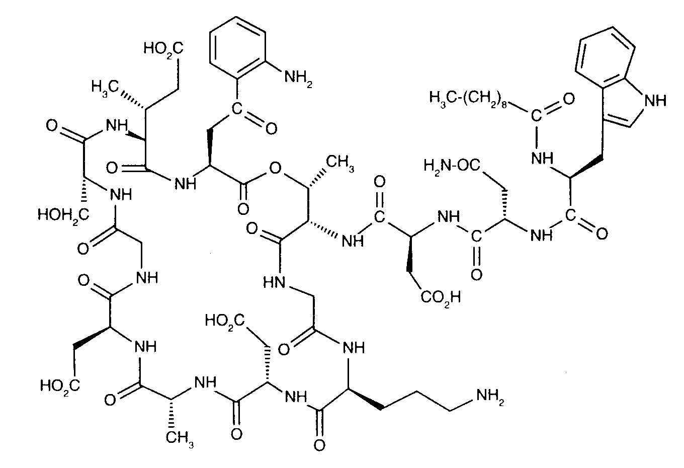
   Chemische Struktur  

Handelsmarke   Handelsmarke     

Handelsnamen sind als beispielhaft anzusehen. Sonstige Bestandteile können je nach Hersteller oder Land verschieden sein

Cubicin Argentinien, Australien, Chile, Dänemark, Deutschland, Finnland, Frankreich, Griechenland, Großbritannien, Indien, Irland, Island, Italien, Japan, Kanada, Kolumbien, Malaysia, Mexiko, Neuseeland, Niederlande, Norwegen, Österreich, Polen, Portugal, Rumänien, Schweden, Schweiz, Spanien, Türkei, Ungarn, Venezuela, Vereinigte Staaten von Amerika
Daptomicina Argentinien, Italien, Spanien
Daptomicine Deutschland, Finnland, Großbritannien, Norwegen, Ungarn
Exfuno Brasilien, Chile
Stenkivar Nigeria
Trisk Brasilien
Stabilität der Lösung   Injektion   Stabilität der Lösung : Daptomycin     
Behälter Lösungsmittel Konzentration Temperatur Konservierung Dauer der Stabilität Literaturverzeichnis
Glas Wasser für injektable präparate 50 mg/ml 2-8°C Nicht genau angegeben
48 Stunde
2271
Stabilitätsdaten des Herstellers

Glas Wasser für injektable präparate 50 mg/ml 25°C Nicht genau angegeben
12 Stunde
2271
Stabilitätsdaten des Herstellers

Glas 0,9% Natriumchlorid 50 mg/ml 2-8°C Nicht genau angegeben
48 Stunde
2271
Stabilitätsdaten des Herstellers

Glas 0,9% Natriumchlorid 50 mg/ml 2-8°C Ohne Licht
7 Tag
4074
Evidenzgrad C

Glas 0,9% Natriumchlorid 50 mg/ml 25°C Nicht genau angegeben
12 Stunde
2271
Stabilitätsdaten des Herstellers

Glas 0,9% Natriumchlorid 50 mg/ml 25°C Ohne Licht
2 Tag
4074
Evidenzgrad C

Glas Physionéal® 1.36 (Baxter) 100 mg/ml 25°C Ohne Licht
6 Stunde
3218
Evidenzgrad D

Glas Physionéal® 1.36 (Baxter) 100 mg/ml 37°C Ohne Licht
6 Stunde
3218
Evidenzgrad D

Glas Physionéal® 1.36 (Baxter) 100 mg/ml 4°C Ohne Licht
24 Stunde
3218
Evidenzgrad D

Polyvinylchlorid Extraneal® (Baxter) 0,070 mg/ml 25°C Nicht genau angegeben
24 Stunde
4936
Evidenzgrad D

Polyvinylchlorid Extraneal® (Baxter) 0,245 mg/ml 25°C Nicht genau angegeben
48 Stunde
4936
Evidenzgrad D

Polyvinylchlorid Nutrineal® 50 & 200 mg/ml 37°C Ohne Licht
6 Stunde
3218
Evidenzgrad D

Polyvinylchlorid Nutrineal® 50 & 200 mg/ml 4°C Ohne Licht
24 Stunde
3218
Evidenzgrad D

Polyvinylchlorid Physionéal® 1.36 (Baxter) 0.02 mg/ml 25°C Nicht genau angegeben
24 Stunde
3439
Evidenzgrad D

Polyvinylchlorid Physionéal® 1.36 (Baxter) 0.02 mg/ml 37°C Nicht genau angegeben
6 Stunde
3439
Evidenzgrad D

Polyvinylchlorid Physionéal® 1.36 (Baxter) 50 & 200 mg/ml 25°C Ohne Licht
6 Stunde
3218
Evidenzgrad D

Polyvinylchlorid Physionéal® 1.36 (Baxter) 50 & 200 mg/ml 37°C Ohne Licht
6 Stunde
3218
Evidenzgrad D

Polyvinylchlorid Physionéal® 1.36 (Baxter) 50 & 200 mg/ml 4°C Ohne Licht
24 Stunde
3218
Evidenzgrad D

Polyvinylchlorid Physionéal® 2.27 (Baxter) 0.02 mg/ml 25°C Nicht genau angegeben
24 Stunde
3439
Evidenzgrad D

Polyvinylchlorid Physionéal® 2.27 (Baxter) 0.02 mg/ml 37°C Nicht genau angegeben
6 Stunde
3439
Evidenzgrad D

Polyvinylchlorid Dianéal® 2.5% glucose (Baxter) 0,070 mg/ml 25°C Nicht genau angegeben
24 Stunde
4936
Evidenzgrad D

Polyvinylchlorid Dianéal® 2.5% glucose (Baxter) 0,245 mg/ml 25°C Nicht genau angegeben
12 Stunde
4936
Evidenzgrad D

Polypropylen 0,9% Natriumchlorid 14 mg/ml 2-8°C Ohne Licht
7 Tag
4074
Evidenzgrad C

Polypropylen 0,9% Natriumchlorid 14 mg/ml 25°C Ohne Licht
4 Tag
4074
Evidenzgrad C

Polypropylen 0,9% Natriumchlorid 5,6 mg/ml 2-8°C Ohne Licht
7 Tag
4074
Evidenzgrad C

Polypropylen 0,9% Natriumchlorid 5,6 mg/ml 25°C Ohne Licht
2 Tag
4074
Evidenzgrad C

Nicht genau angegeben 0,9% Natriumchlorid ? mg/ml 2-8°C Nicht genau angegeben
24 Stunde
2271
Stabilitätsdaten des Herstellers

Nicht genau angegeben 0,9% Natriumchlorid ? mg/ml 25°C Nicht genau angegeben
12 Stunde
2271
Stabilitätsdaten des Herstellers


  Mentions Légales