Letztes “update” :
27/04/2026
Antibiotikum   Daptomycin  
Injektion
Stabilität der Lösung Gemengestabilität Stabilitätbeeinflussende Faktoren Kompatibilitäten Applikationsart Literaturverzeichnis pdf
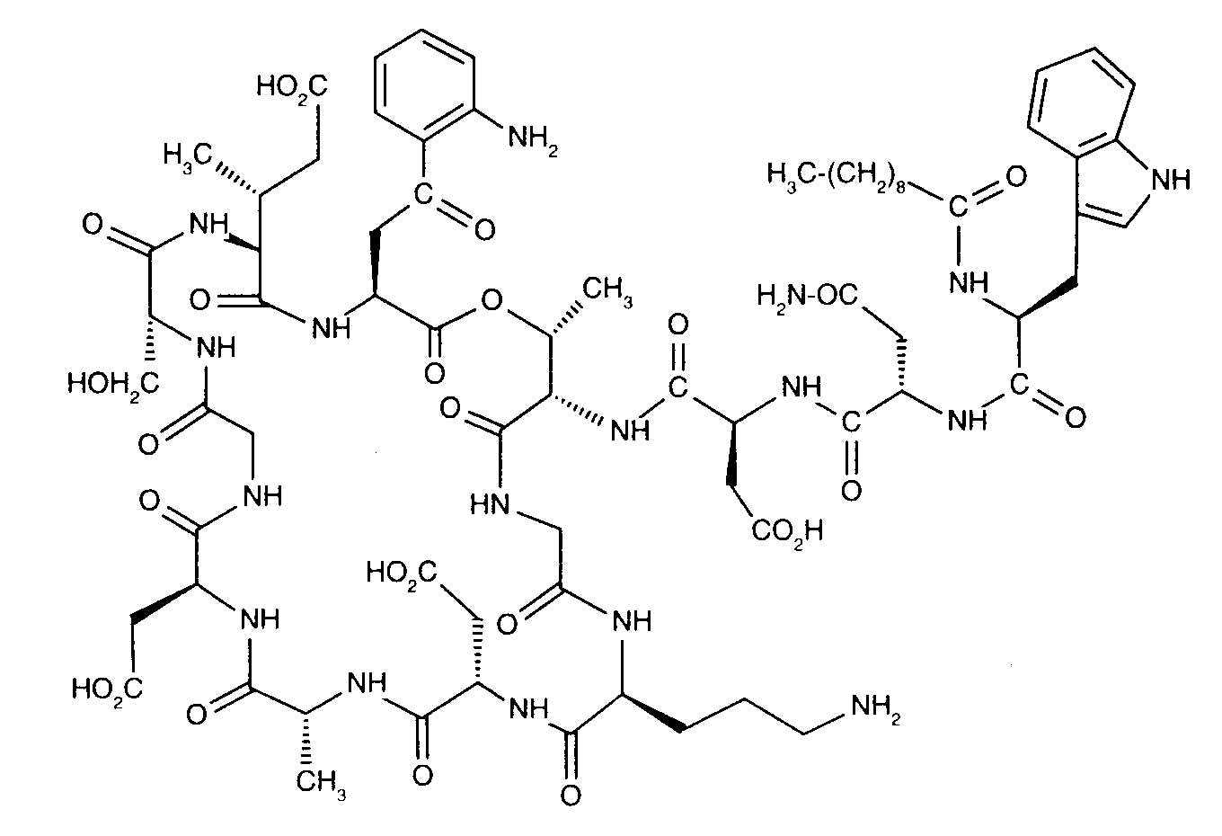
   Chemische Struktur  

Handelsmarke   Handelsmarke     

Handelsnamen sind als beispielhaft anzusehen. Sonstige Bestandteile können je nach Hersteller oder Land verschieden sein

Cubicin Argentinien, Australien, Chile, Dänemark, Deutschland, Finnland, Frankreich, Griechenland, Großbritannien, Indien, Irland, Island, Italien, Japan, Kanada, Kolumbien, Malaysia, Mexiko, Neuseeland, Niederlande, Norwegen, Österreich, Polen, Portugal, Rumänien, Schweden, Schweiz, Spanien, Türkei, Ungarn, Venezuela, Vereinigte Staaten von Amerika
Daptomicina Argentinien, Italien, Spanien
Daptomicine Deutschland, Finnland, Großbritannien, Norwegen, Ungarn
Exfuno Brasilien, Chile
Stenkivar Nigeria
Trisk Brasilien
Gemengestabilität   Injektion   Gemengestabilität : Daptomycin     
Behälter Lösungsmittel Konzentration Molekül Temperatur Konservierung Dauer der Stabilität Literaturverzeichnis
 Spritze Polypropylen Ringer Lactat - Lösung 5 mg/ml
Injektion   Daptomycin   
Injektion   Heparin sodium 100 UI/ml
-20°C
14 Tag
Ohne Licht 3665
Evidenzgrad B
 Spritze Polypropylen Ringer Lactat - Lösung 5 mg/ml
Injektion   Daptomycin   
Injektion   Heparin sodium 100 UI/ml
4°C
14 Tag
Nicht genau angegeben 3665
Evidenzgrad B
Nicht genau angegeben 0,9% Natriumchlorid 16,7 mg/ml
Injektion   Daptomycin   
Injektion   Aztreonam 16,7 mg/ml
22°C-28°C
2 Stunde
Nicht genau angegeben 1937
Evidenzgrad C+
Nicht genau angegeben 0,9% Natriumchlorid 16,7 mg/ml
Injektion   Daptomycin   
Injektion   Ceftazidime 16,7 mg/ml
22°C-28°C
2 Stunde
Nicht genau angegeben 1937
Evidenzgrad C+
Nicht genau angegeben 0,9% Natriumchlorid 16,7 mg/ml
Injektion   Daptomycin   
Injektion   Ceftriaxone disodium 16,7 mg/ml
22°C-28°C
2 Stunde
Nicht genau angegeben 1937
Evidenzgrad C+
Nicht genau angegeben 0,9% Natriumchlorid 16,7 mg/ml
Injektion   Daptomycin   
Injektion   Lidocaine hydrochloride 3,3 mg/ml
22°C-28°C
2 Stunde
Nicht genau angegeben 1937
Evidenzgrad C+
Nicht genau angegeben 0,9% Natriumchlorid 18,2 mg/ml
Injektion   Daptomycin   
Injektion   Dopamine hydrochloride 3,6 mg/ml
22°C-28°C
2 Stunde
Nicht genau angegeben 1937
Evidenzgrad C+
Nicht genau angegeben 0,9% Natriumchlorid 19,2 mg/ml
Injektion   Daptomycin   
Injektion   Gentamicin sulfate 1,5 mg/ml
22°C-28°C
2 Stunde
Nicht genau angegeben 1937
Evidenzgrad C+
Nicht genau angegeben 0,9% Natriumchlorid 6,3 mg/ml
Injektion   Daptomycin   
Injektion   Fluconazole 1,3 mg/ml
22°C-28°C
2 Stunde
Nicht genau angegeben 1937
Evidenzgrad C+
Nicht genau angegeben 0,9% Natriumchlorid 19,6 mg/ml
Injektion   Daptomycin   
Injektion   Heparin sodium 5000 UI/ml
22°C-28°C
2 Stunde
Nicht genau angegeben 1937
Evidenzgrad C+
Nicht genau angegeben 0,9% Natriumchlorid 14,3 mg/ml
Injektion   Daptomycin   
Injektion   Levofloxacine 7,1 mg/ml
22°C-28°C
2 Stunde
Nicht genau angegeben 1937
Evidenzgrad C+

  Mentions Légales