Последно актуализиране :
27/04/2026
Антибиотик   Daptomycin  
Инжекция/Инжекционен
Стабилност на разтвори Стабилност на смеси Фактори, повлияващи стабилността Съвместимост Път на въвеждане Библиография Pdf
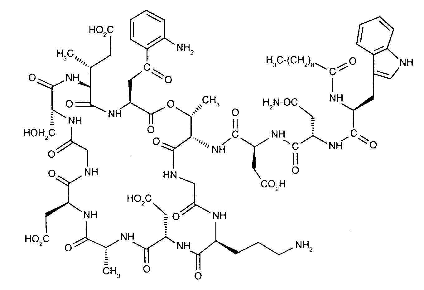
   Химична структура  

Търговско наименование   Търговско наименование     

Търговските имена са примерни и съставът на помощните вещества може да бъде различен в зависимост от държавата и лабораториите

Cubicin Австралия, Австрия, Аржентина, Великобритания, Венецуела, Германия, Гърция, Дания, Индия, Ирландия, Исландия, Испания, Италия, Канада, Колумбия, Малайзия, Мексико, нова Зеландия, Норвегия, Полша, Португалия, Румъния, Съединени Американски щати / САЩ, Турция, Унгария, Финландия, Франция, Холандия, Чили, Швейцария, Швеция, Япония
Daptomicina Аржентина, Испания, Италия
Daptomicine Великобритания, Германия, Норвегия, Унгария, Финландия
Exfuno Бразилия, Чили
Stenkivar Нигерия
Trisk Бразилия
Стабилност на смеси   Инжекция/Инжекционен   Стабилност на смеси : Daptomycin     
Контейнер Разтворител Концентрация Състав / молекула Температура Съхранение Продължителност на стабилността Библиография
шприц полипропилен Ринтер лактат 5 mg/ml
Инжекция/Инжекционен   Daptomycin   
Инжекция/Инжекционен   Heparin sodium 100 UI/ml
-20°C
14 Ден
Защита от светлина 3665
Степен на доказаност B
шприц полипропилен Ринтер лактат 5 mg/ml
Инжекция/Инжекционен   Daptomycin   
Инжекция/Инжекционен   Heparin sodium 100 UI/ml
4°C
14 Ден
Не е уточнено 3665
Степен на доказаност B
Не е уточнено Sodium chloride 0,9% 16,7 mg/ml
Инжекция/Инжекционен   Daptomycin   
Инжекция/Инжекционен   Aztreonam 16,7 mg/ml
22°C-28°C
2 Час
Не е уточнено 1937
Степен на доказаност C+
Не е уточнено Sodium chloride 0,9% 16,7 mg/ml
Инжекция/Инжекционен   Daptomycin   
Инжекция/Инжекционен   Ceftazidime 16,7 mg/ml
22°C-28°C
2 Час
Не е уточнено 1937
Степен на доказаност C+
Не е уточнено Sodium chloride 0,9% 16,7 mg/ml
Инжекция/Инжекционен   Daptomycin   
Инжекция/Инжекционен   Ceftriaxone disodium 16,7 mg/ml
22°C-28°C
2 Час
Не е уточнено 1937
Степен на доказаност C+
Не е уточнено Sodium chloride 0,9% 16,7 mg/ml
Инжекция/Инжекционен   Daptomycin   
Инжекция/Инжекционен   Lidocaine hydrochloride 3,3 mg/ml
22°C-28°C
2 Час
Не е уточнено 1937
Степен на доказаност C+
Не е уточнено Sodium chloride 0,9% 18,2 mg/ml
Инжекция/Инжекционен   Daptomycin   
Инжекция/Инжекционен   Dopamine hydrochloride 3,6 mg/ml
22°C-28°C
2 Час
Не е уточнено 1937
Степен на доказаност C+
Не е уточнено Sodium chloride 0,9% 19,2 mg/ml
Инжекция/Инжекционен   Daptomycin   
Инжекция/Инжекционен   Gentamicin sulfate 1,5 mg/ml
22°C-28°C
2 Час
Не е уточнено 1937
Степен на доказаност C+
Не е уточнено Sodium chloride 0,9% 6,3 mg/ml
Инжекция/Инжекционен   Daptomycin   
Инжекция/Инжекционен   Fluconazole 1,3 mg/ml
22°C-28°C
2 Час
Не е уточнено 1937
Степен на доказаност C+
Не е уточнено Sodium chloride 0,9% 19,6 mg/ml
Инжекция/Инжекционен   Daptomycin   
Инжекция/Инжекционен   Heparin sodium 5000 UI/ml
22°C-28°C
2 Час
Не е уточнено 1937
Степен на доказаност C+
Не е уточнено Sodium chloride 0,9% 14,3 mg/ml
Инжекция/Инжекционен   Daptomycin   
Инжекция/Инжекционен   Levofloxacine 7,1 mg/ml
22°C-28°C
2 Час
Не е уточнено 1937
Степен на доказаност C+

  Mentions Légales