Zadnji put ažurirano :
27/04/2026
antibiotik   Daptomycin  
injekcija
Stabilizacija rješenja Stabilnost mješavine Stabilizacijski faktor Kompatibilnosti način davanja lijeka Bibliografija pdf
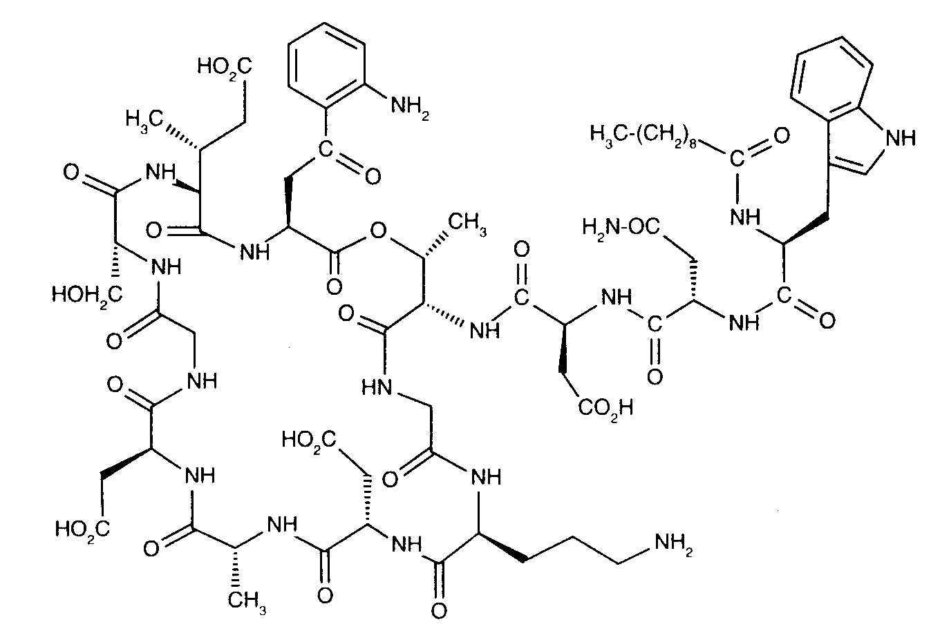
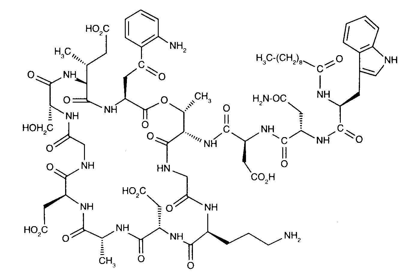
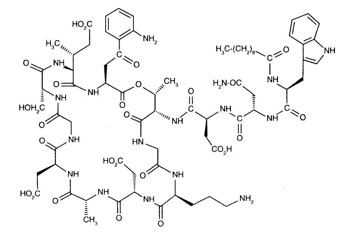
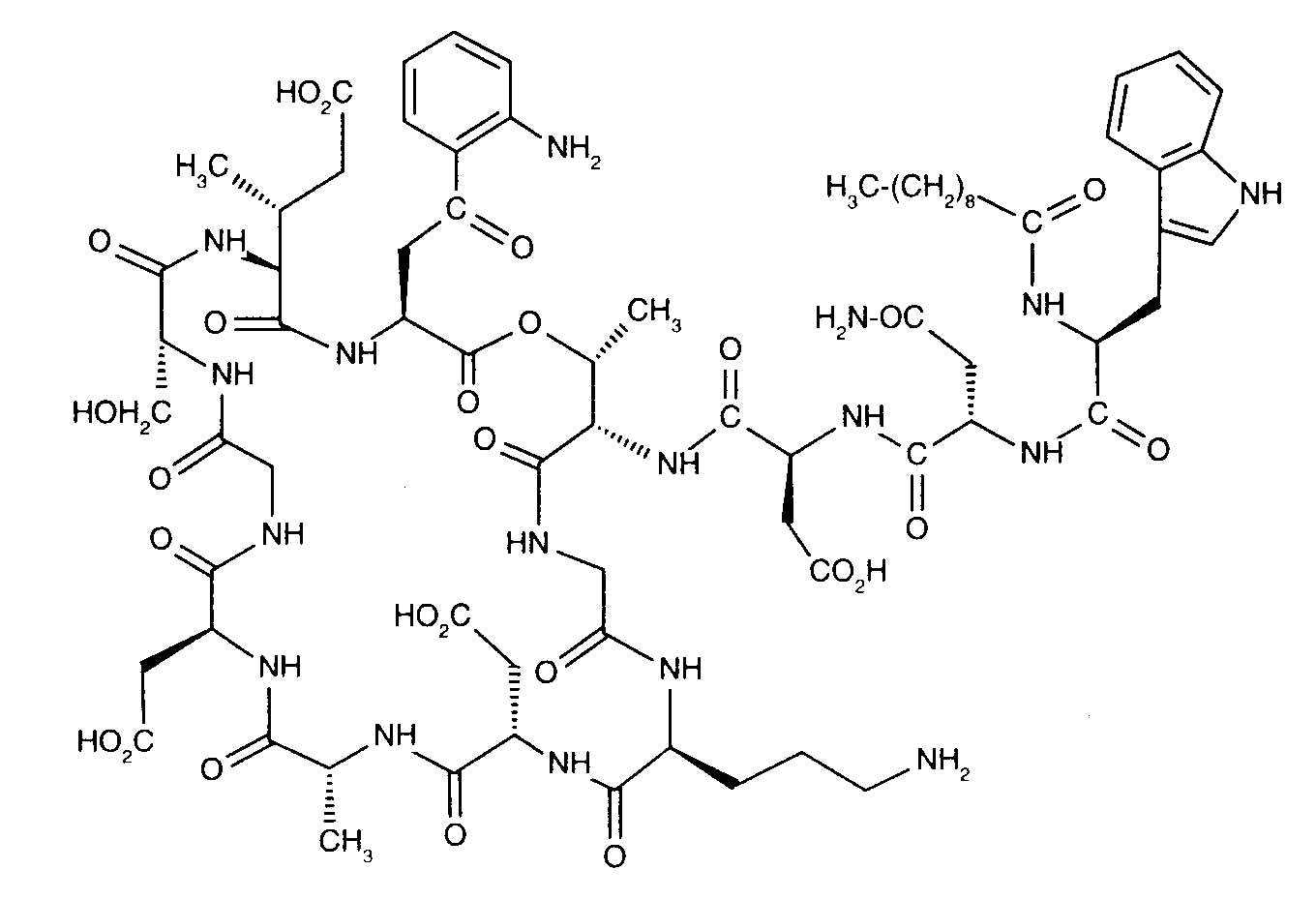
   Kemijska struktura  

Nekomercijalni   Nekomercijalni     

Zaštićeni nazivi su indikativni i sastav ekscipijensa može biti različit ovisno o državi i laboratorijima

Cubicin Indija, Argentina, Australija, Austrija, Čile, Danska, Finska, Francuska, Grčka, Irska, Island, Italija, Japan, Kanada, Kolumbija, Madžarska, Malezija, Meksiko, Nizozemska, Njemačka, Norveška, novi Zeland, Poljska, Portugal, Rumunjska, S A D, Španjolska, Švedska, Švicarska, Turska, Velika Britanija, Venecuela
Daptomicina Argentina, Italija, Španjolska
Daptomicine Finska, Madžarska, Njemačka, Norveška, Velika Britanija
Exfuno Brazil, Čile
Stenkivar Nigerija
Trisk Brazil
Stabilnost mješavine   injekcija   Stabilnost mješavine : Daptomycin     
Kontejner sredstvo za rastapanje koncentracija molekula temperatura Konzerviranje Trajanje stabilnosti Bibliografija
špric polipropilen Ringer laktat 5 mg/ml
injekcija   Daptomycin   
injekcija   Heparin sodium 100 UI/ml
-20°C
14 dan
Zaštićeno od svjetlosti 3665
Razina dokaza B
špric polipropilen Ringer laktat 5 mg/ml
injekcija   Daptomycin   
injekcija   Heparin sodium 100 UI/ml
4°C
14 dan
nespecifičan 3665
Razina dokaza B
nespecifičan natrijumkorid 0,9% 16,7 mg/ml
injekcija   Daptomycin   
injekcija   Aztreonam 16,7 mg/ml
22°C-28°C
2 sat
nespecifičan 1937
Razina dokaza C+
nespecifičan natrijumkorid 0,9% 16,7 mg/ml
injekcija   Daptomycin   
injekcija   Ceftazidime 16,7 mg/ml
22°C-28°C
2 sat
nespecifičan 1937
Razina dokaza C+
nespecifičan natrijumkorid 0,9% 16,7 mg/ml
injekcija   Daptomycin   
injekcija   Ceftriaxone disodium 16,7 mg/ml
22°C-28°C
2 sat
nespecifičan 1937
Razina dokaza C+
nespecifičan natrijumkorid 0,9% 16,7 mg/ml
injekcija   Daptomycin   
injekcija   Lidocaine hydrochloride 3,3 mg/ml
22°C-28°C
2 sat
nespecifičan 1937
Razina dokaza C+
nespecifičan natrijumkorid 0,9% 18,2 mg/ml
injekcija   Daptomycin   
injekcija   Dopamine hydrochloride 3,6 mg/ml
22°C-28°C
2 sat
nespecifičan 1937
Razina dokaza C+
nespecifičan natrijumkorid 0,9% 19,2 mg/ml
injekcija   Daptomycin   
injekcija   Gentamicin sulfate 1,5 mg/ml
22°C-28°C
2 sat
nespecifičan 1937
Razina dokaza C+
nespecifičan natrijumkorid 0,9% 6,3 mg/ml
injekcija   Daptomycin   
injekcija   Fluconazole 1,3 mg/ml
22°C-28°C
2 sat
nespecifičan 1937
Razina dokaza C+
nespecifičan natrijumkorid 0,9% 19,6 mg/ml
injekcija   Daptomycin   
injekcija   Heparin sodium 5000 UI/ml
22°C-28°C
2 sat
nespecifičan 1937
Razina dokaza C+
nespecifičan natrijumkorid 0,9% 14,3 mg/ml
injekcija   Daptomycin   
injekcija   Levofloxacine 7,1 mg/ml
22°C-28°C
2 sat
nespecifičan 1937
Razina dokaza C+

  Mentions Légales